Sciencemadness Discussion Board

Synthesis of cubane and cubane related compounds / derivatives

Niklas - 4-5-2025 at 07:59

Greetings everyone,
As a disclaimer straight up, I have not yet made this product, but it’s a project I’m currently working on and in a somewhat crudely executed run I previously managed to successfully prepare, as confirmed by NMR, some of the intermediate bisketone (around 20 g) in a total yield of 33,4% starting from commercial cyclopentanone. Now my interested has shifted from just making cubane for the sake of it though, and over the last year I came up with multiple theoretical synthesis leading towards potentially pharmacologically active cubane biosteres of some psychedelics, this aspect will be further explained below, I wanna explore in practice. Therefore I‘ve decided to scale this whole synthesis up, now using 400 ml of additional cyclopentanone, and this process and, as far as I’m successful, the following synthesis of some derivatives, I will be documenting in this thread. As far as you are working of this type of synthesis yourself, be it completely unrelated to my personal goal, I would appreciate you adding your input and labnotes / procedures as well though, so you can just treat this as a general thread for cubane related stuff.


Introduction

Cubane really is an interesting compound, seemingly defying the previously believed to be quite rigid rules of molecular geometry. While it could be determined by extensive calculations that cubane would likely be a compound stable enough to be isolated, this could only be fully confirmed in 1964 with its first synthesis by Eaton starting from cyclopentene, taking 15 steps to result in the unsubstituted form of this Platonic hydrocarbon [1].

IMG_9197.gif - 33kB
Fig.1: The first synthesis of the cubane system by Eaton

This was eventually shortened to 10 steps by Tsanaktsidis in 1997 [2], and till this day this path, with some minor modification of the reaction conditions, remains the general approach to cubane and its derivatives, most notably its 1,4-dicarboxylic acid, which has gained legitimate practical interest as will be described below. With this yields of 32% are achievable for the dimethyl-1,4-dicarboxylate starting from cyclopentanone, as has been described by Bartonek from Klapötke’s group in 2023 [3].

IMG_9200.jpeg - 28kB
Fig.2: Improved synthesis of cubane by Tsanaktsidis

Looking at this synthesis it very much has an appeal to amateur chemistry, for the most part using fairly accessible reagents and leading to a structurally and energetically, this point will be further explained when talking about real world applications, product. By simply exceeding the path to include the barium hydroxide catalyzed decarboxylative cyclisation of adipic acid to the starting cyclopentanone, which can be achieved in yields of 75-80% according to Thorpe [4], one can easily prepare the only considerably hard to get precursor from a widely available chemical. This process has long been documented on YouTube by Tom‘s lab [5], and has been improved accessibility wise by Tom from Extractions&Ire to use sodium carbonate as the catalyst with only a minor loss in yield [6].
So, in August of 2020, Tom from Extractions&Ire embarked on attempting this journey of a project, with many other YouTubers soon following [7][8][9][10][11][12][13], and myself as well, starting a “cubane race“ which ended up being won by Sam from the channel Chemiolis with the synthesis of dimethyl cubane-1,4-dicarboxylate in Mai of 2023 and the synthesis of unsubstituted cubane in June of the same year [14][15]. While most of the above mentioned YouTubers never ended up finishing this journey (it is worth noting that Lumiray still seems to be going and that Saffron Ravenspear has made cubane at this point but simply hasn’t uploaded a video on it yet), Tom did end up successfully preparing a tiny quantity of the dimethylester in December of 2023 only using hardware store materials, therefore seemingly concluding this short but exciting chapter of chemistry on YouTube [16].
But due to the previously rather disappointing quantity, in late December of last year, Tom decided to revisit this whole synthesis on a significantly larger scale, with the eventual goal of preparing energetic derivatives of cubane, and it will be exciting to see how this will turn out [17].

Now that we are already talking about energetic derivatives of cubane, this unsurprisingly is the most obvious and famous real world application of this compound. With cubane‘s very unfavorable bond angles there is a lot of internal energy in this molecule, with even the simple dicarboxylic acid having been reported to detonate on attempted kugelrohr distillation [18], making it a great basis for different energetic compounds of great potential, most famous one being octanitrocubane, which has first been prepared in 1999 by Eaton and Zhang [19]. Most interestingly this compound, while being tremendously powerful, is actually quite insensitive, giving it great practical potential, if we ignore the unachievably long synthesis. Some other examples in that regard also include cubane‘s nitrocarbamate esters and their salts which have only recently been first prepared and evaluated by Bartonek [3][20].

IMG_9202.jpeg - 180kB
Fig.3: Two energetic derivatives of cubane

Even more interesting is cubane’s potential as a pharmaceutical building block though, as the use of 1,4-disubstituted cubanes instead of para-substituted benzenes in pharmacologically active compounds like benzocaine has been shown to oftentimes give improved effects and, ironically, increase metabolic stability [21]. This is, at least for the most part, due to the geometry of cubane shown in the figure below, while lacking double bonds which may be attacked by undesired oxidative processes in the human body.

IMG_9203.jpeg - 13kB
Fig.4: Cubane‘s geometry leading to its biosteric properties

While all named applications so far are exclusively research work not yet commercialized due to the high production cost of the cubane system, we will hopefully see this change eventually, both for the given practical benefits, and the excitement of what feels like a new yet to explore branch of organic chemistry.


Sources:

[1] Eaton, P. E. Cole, T. W. (1964). The Cubane System. J. Am. Chem. Soc., 86/5, 962–964
[2] Tsanaktsidis, J. Bliese, M. (1997). Dimethyl Cubane-1,4-dicarboxylate: A Practical Laboratory Scale Synthesis.
Aust. J. Chem., 50/3, 189-192
[3] Bartonek, A. et al. (2023). Sensitive 1,4-Disubstituted Nitro-Containing Cubanes: Structures and Properties. J. Org. Chem., 88/18, 12884–12890
[4] Thorpe, J. F. Kon, G. A. R. (1925). Cyclopentanone. Org. Synth., 5/37
[5] https://youtu.be/AyFKsOUNA9I?si=YUAToTJ2QU5YLhG6 ; last accessed: 04.05.2025
[6] https://youtu.be/wepageDzQhw?si=M87BMsrUwph8SiIF ; last accessed: 04.05.2025
[7] https://youtu.be/yNqj-j2Nb7Q?si=MxQJHnphbiaaEib6 ; last accessed: 04.05.2025
[8] https://youtu.be/FKsGdWkeKZs?si=vas_Bh3KAGstlNkF ; last accessed: 04.05.2025
[9] https://youtu.be/9eWgirvNrYg?si=P5DtbLzUTnT6IUjs ; last accessed: 04.05.2025
[10] https://youtu.be/U0chHMCubF8?si=Ntgjd_UaVZEaVCM1 ; last accessed: 04.05.2025
[11] https://youtu.be/5MK4Xpb0Bjc?si=bBQKYc9DOVQT_JFt ; last accessed: 04.05.2025
[12] https://youtu.be/TmwU1NNc-EI?si=5w0K0NCF5nIPz3XA; last accessed: 04.05.2025
[13] https://youtu.be/lLayBaF2xMI?si=w5GycoiDljdGYNGA ; last accessed: 04.05.2025
[14] https://youtu.be/zjp1aR6dSh4?si=B-ihF9xDbPtMd1Yz ; last accessed: 04.05.2025
[15] https://youtu.be/v6jqlL5ZT3M?si=wOUNfbBm9Uf6AsK7 ; last accessed: 04.05.2025
[16] https://youtu.be/BmzCsJUH2m8?si=7xRc8d9TG5xq5vjT ; last accessed: 04.05.2025
[17] https://youtu.be/BXeEew6gDug?si=x135zJK_sXgjclBM ; last accessed: 04.05.2025
[18] Fluorochem Inc. (1989). CUBANE DERIVATIVES FOR PROPELLANT APPLICATIONS. AD-A210 368
[19] Eaton, P. E. Zhang, M. X. Gilardi, R. (2000). Hepta- und Octanitrocubane. Angew. Chem., 112/2, 422-426
[20] Bartonek, A. et al. (2024). Energetic Salts of Cubane-1,4-Dimethylnitrocarbamate. Inorg. Chem., 63/43, 20870–20877
[21] Benjamin, A. et al. (2016). Validating Eaton's Hypothesis: Cubane as a Benzene Bioisostere. Angew. Chem., 55/11, 3580-3585

[Edited on 4-5-2025 by Niklas]

[Edited on 4-5-2025 by Niklas]

[Edited on 5-5-2025 by Niklas]

Synthesis of Cyclopentanone ethylene ketal (1,4-dioxaspiro[4.4]nonane)

Niklas - 4-5-2025 at 12:47

A 2 l round bottom flask, set in a glycerol bath on a magnetic stirrer, was charged with 400 ml cyclopentanone (4,52 mol) and 800 ml cyclohexane as the solvent. The mixture was stirred to result in a clear solution, 640 ml of ethylene glycol (11,48 mol) added forming a separate layer, followed by 5 g of strongly acidic cation exchange resin as the catalyst (Note 1). A Dean-Stark apparatus utilizing a Dimroth condenser was set up, and the mixture heated to a reflux by warming the glycerol bath to 120 °C until the water generation had largely subsided, in total collecting 310 g of distillate (Note 2).
After cooling the now light yellow cyclohexane layer was decanted from the small amount of unreacted glycol and the cation exchange resin, the dark yellow glycol layer extracted twice more using 50 ml cyclohexane each, and the combined extracts dried over anhydrous sodium sulfate. The drying agent was removed by filtration through a piece of glass wool, the cyclohexane removed by rotary evaporation, and the remaining clear yellow solution, which has a strong characteristic smell, transferred to a 1 l three-neck round bottom flask set up for fractionated vacuum distillation through a 20 cm Vigreux column, utilizing an Anschütz-Thiele adapter to allow to take fractions. The crude product was then distilled under vacuum (Note 3), first collecting around 150 ml of distillate at 36-39 °C likely consisting of residual cyclohexane (Note 4), and then, after increasing the vacuum, finally the product at 102-105 °C while simultaneously increasing the glycerol bath temperature from 120 to 150 °C to allow for a constant distillation rate. From this 496,6 g (87,5%) of a clear colorless liquid having a strong characteristic smell (Note 5) were collected. n20D: 1.448 ; 1.448 (/ 1.469) lit.

Note 1: The cation exchange resin used was purchased from Merck KGaA. Alternatively para-toluenesulfonic acid may be used as a catalyst and toluene as the solvent, initially resulting in a much darker reaction mixture, but still ending up in an acceptable 80% yield. In this case one has to neutralize the acid by washing with sodium carbonate solution before the distillation though.
Note 2: As excess glycol is used, which forms more water on cyclizing to 1,4-dioxane, the quantity of water collected is not a good indicator for the end point of the reaction (the theoretical maximum would have been around 81,5 g). To avoid excessive refluxing one can track the progress of the reaction by TLC (4:1 hexane / ethylacetate) using a vanillin stain.
Note 3: One has to keep the vacuum somewhat low initially as the mixture tends to foam really strongly, at the time I didn’t have my vacuum gauge connected, but based on the boiling point of the presumably cyclohexane fraction I would assume pressure of around 220 mbar. One may also just remove the cyclohexane at atmospheric pressure to get around the issue of foaming entirely.
Note 4: Even though this fraction had a clear ketal smell redistillation did not yield any notable quantity of additional product.
Note 5: I find it really hard to describe its smell and even after discussing with other people having handled it we did not manage to come up with a good description. In literature its smell is oftentimes described as “minty“, but to me that seems completely off.


Pictures:

20250328_173706.jpeg - 657kB
Fig.1 The apparatus used for the reaction

20250328_170053.jpeg - 489kB20250328_170421.jpeg - 408kB
20250328_170956.jpeg - 356kB20250406_133545.jpeg - 383kB
Fig.2-5 Performing the reaction

20250406_141656.jpeg - 666kB
Fig.6 Removal of the cyclohexane by rotary evaporation

20250406_184718.jpeg - 864kB
Fig.7 Vacuum distillation of the product

20250406_220626.jpeg - 691kB
Fig.8 The final cyclopentanone ethylene ketal

[Edited on 5-5-2025 by Niklas]

Badly executed small scale synthesis of the bisketone and what may be improved

Niklas - 5-5-2025 at 10:28

Below my above mentioned previous synthesis of around 20 g of bisketone starting from 40 g cyclopentanone ethylene ketal will be described.
In this case the bromination and Dields-Alder reaction were combined in a one-pot sequence according to [1], due to the large volume of the mixture I will likely be isolating the tribromide on my large scale run though as I‘m limited to using a 4 liter flask at maximum.


endo-2,4-Dibromodicyclopentadiene-1,8-dione diethylene ketal (“Bisketal“):
A 500 ml three neck round bottom flask, equipped with a 250 ml pressure equalizing addition funnel, a gas adapter leading to an argon line, and a calcium chloride filled drying tube connected to a piece of hosing leading into the shaft of the fumehood, was charged with a 40 g cyclopentanone ethylene ketal (312 mmol) and 250 ml absolute 1,4-dioxane (Note 1) resulting in a clear colorless solution. The addition funnel was charged with 50 ml of bromine (976 mmol) (Note 2), the air removed by quickly running argon through the system, and the gas adapter switched out for a jointed thermometer. The flask was then submerged in an ice bath, and the bromine slowly added with strong magnetic stirring at a rate so that the temperature stays in the range of 10-20 °C (Note 3). Initially the bromine instantly discolors on addition resulting in a yellow solution, only shifting to a wine red towards the end, after which stirring was continued at room temperature for two days.
The now cherry red solution of the tribromide was then transferred to a 1 l three neck round bottom flask (Note 4) set in a heating mantle, equipped with a 250 ml pressure equalizing addition funnel, a mantled Dimroth-condenser set up for reflux and the gas inlet of a fritted gas-washing bottle, and a majority of the dissolved HBr removed by bubbling argon through the mixture for a couple of minutes (Note 5). The gas inlet was again switched out for a jointed thermometer, and, with strong magnetic stirring, a solution of 86,7 g sodium hydroxide (2,17 mol) in 435 ml methanol added through the addition funnel first dropwise and later in a constant stream so that the temperature remains between 30 and 40 °C, causing the mixture to first turn a cloudy orange from sodium bromide precipitating, and suddenly a blackish-brown. After the addition was completed the mixture was refluxed for 20 h to bring the reaction to completion, during which time it further darkened, and the still warm suspension poured into 1,1 l of distilled water. After standing in the fridge over night the solids were removed by vacuum filtration through a Büchner funnel, the filter cake throughly washed with water and twice with a small quantity of -20 °C methanol each removing most of the color, and dried on the air till constant weight (Note 6). From this 29,77 g (47%; 88% lit.) of the bisketal intermediate were collected as a slightly beige powder that was used as such in the deprotection without further purification.

Note 1: Commercial dioxane was absolutized using sodium / benzophenone and stored under argon over 3Å molecular sieves.
Note 2: The bromine was prepared by the oxidation of sodium bromide with sodium persulfate and and used as such after shaking with sulfuric acid to dry.
Note 3: Initially there is a significant exotherm but towards the end of the addition this had largely subsided.
Note 4: One could have performed the synthesis in a 1 l flask straight up, I just originally underestimated the volume resulting from doing the process one-pot.
Note 5: This step isn’t exactly necessary but it strongly reduces the exotherm on addition of the sodium hydroxide solution.
Note 6: By evaporating the mother liquors to a volume of 500 ml some further product could be isolated as a sticky brown solid crystallizing as beige crystals on recrystallisation from ethanol / water with some activated charcoal added, this ended up being lost because of an accident though.

Screenshot_20250505_144428_Gallery.jpeg - 166kB
Fig.1 The apparatus used for the bromination

Screenshot_20250505_144326_Gallery.jpeg - 179kB Screenshot_20250505_144844_Video_Player.jpeg - 129kB Screenshot_20250505_144601_Gallery.jpeg - 385kB
Fig.2-4 The progress of the bromination

20250205_165458.jpeg - 620kB
Fig.5 The apparatus used for the Diels-Alder reaction

20250205_170500.jpeg - 239kB 20250205_180755.jpeg - 367kB 20250205_181924.jpeg - 345kB 20250206_151550.jpeg - 458kB
Fig.6-9 The progress of the Diels-Alder reaction

20250207_210328.jpeg - 582kB
Fig.10 The (slightly wet) bisketal

endo-2,4-Dibromodicyclopentadiene-1,8-dione (“Bisketone“):
While stirring magnetically, to a 250 ml round bottom flask charged with 90 ml of 96% sulfuric acid, was added all the previous product (73,3 mmol) in portions resulting in a dark brown solution, the flask capped with a stopper, and the mixture stirred for 36 h at room temperature (as it was currently around 10 °C in the lab the flask was submerged into a water bath warmed to 25 °C). During this time the solution further darkened to almost a black color, and the product was precipitated by carefully pouring into 500 ml dest. water. After cooling the solid was removed by vacuum filtration through a Büchner funnel and washed acid free using dest. water, from what, after drying under vacuum, 20,69 g (88,9%; 84% lit.) of a beige solid resulting melting at 162-164 °C (164-165 °C lit.) (Note 1).
For further purification things were recrystallized from ethylacetate (around 120 ml required) with a spatula of activated charcoal added to remove colored impurities. On cooling to -20 °C 13,86 g of a slightly off-white crystalline solid were collected as the first crop, and on evaporating to a volume of around 20 ml under vacuum and once again cooling in the freezer 2,85 g (71,8% total; 88,9% lit.) further product, being ever so slightly darker, could be collected (Note 2). This product appears to have quite a reasonable purity according to 1H-NMR analysis (DMSO-d6).

Note 1: As the following [2+2]-cycloaddition tends to quickly darken anyway this product may likely already be sufficiently pure to be processed further.
Note 2: Another small crop could be isolated by concentrating down to a volume of around 5 ml I have not yet gotten to filtering.

20250213_171412.jpeg - 803kB 20250213_172036.jpeg - 389kB 20250213_172959.jpeg - 531kB
Fig.11-13 The progress of the deprotection

20250216_100718.jpeg - 483kB 20250403_183453.jpeg - 412kB
Fig.14-15 The crude (left) and recrystallized (right) bisketone

clip_image002.png - 88kB
Fig.16 The NMR spectrum of the final bisketone product

A couple notes on what may be improved in the future especially in the bromination Diels-Alder sequence. First of all I‘ll definitely be further purifying my bromine, as I mentioned I simply dried by shaking with concentrated sulfuric acid this time, but it’s questionable whether that’s really sufficient for such a rather sensitive reaction so I‘ll definitely be redistilling over phosphorus pentoxide next time. And on the second note, which isn’t really of relevance to me anymore as I’d be running things separately in the future, it apparently, according to experimentation done by Saffron Ravenspear, is advisable to only add hydroxide solution until the dark brown color start appearing, yielding a much purer product even without performing the lossy methanol washes described above, in an overall better yield.


Sources

[1] Collin, D. E. et al. (2020). Decagram Synthesis of Dimethyl 1,4-Cubanedicarboxylate Using Continuous-Flow Photochemistry. Synth., 53/7, 1307-1314

[Edited on 5-5-2025 by Niklas]

Niklas - 7-5-2025 at 04:04

Got the exact lamp Bartonek has reported using for the UV step, only cost around 70 bucks so that’s convenient.
Planning on doing a test run of the [2+2] on a small scale this weekend.

20250507_130934.jpeg - 1.6MB

BromicAcid - 7-5-2025 at 13:51

Very cool endeavor. I'm in your boat, make it just because it's cool. Like when I first heard about fenestranes. Wishing you all the luck in the world on this one, thanks for the updates!

Niklas - 7-5-2025 at 21:34

Thank you! Yeah fenestranes really are a cool class of compounds as well. Been thinking to attempt Kuck‘s [5.5.5.5] fenestrane synthesis for a while now too, made a bunch of DBA for that years ago, but eventually just set it aside and never got to continuing, mostly because I kept failing with preparing the indane-1,3-dione. Once I‘ll be working on the synthesis of centrohexaindane I will be revisiting that Claisen though, and once I have successfully done that the Fenestrane should be fairly straightforward as well.

Dr.Bob - 8-5-2025 at 09:10

Very nice work. I wish some of the my students in organic labs had done anywhere near that quality of work back when I TA'ed labs.

I used to do more interesting work like that, but now mostly do scale up of contracted stuff, which is not nearly as much fun. But I still enjoy the joy of making something new or unique when I can.

Niklas - 15-5-2025 at 05:25

Quote: Originally posted by Niklas  
Note 1: The cation exchange resin used was purchased from Merck KGaA. Alternatively para-toluenesulfonic acid may be used as a catalyst and toluene as the solvent, initially resulting in a much darker reaction mixture, but still ending up in an acceptable 80% yield. In this case one has to neutralize the acid by washing with sodium carbonate solution before the distillation though. [Edited on 5-5-2025 by Niklas]


A further note on this, after some discussion with Saffron Ravenspear I deem it likely that when using TSA the distillation rate has a large impact on the rate of darkening / tar formation, with fast reflux rate being preferable, as with a slow rate the water can stay around in the reaction mixture, likely allowing some TSA to turn back into sulfuric acid, which then causes the formation of colored aldol type products (both from the cyclopentanone and acetaldehyde which likely forms from the excess glycol).
When I did things I refluxed things rather mildly so I can feel safe running things over night, while Saffron vigorously refluxed in a 250-300 °C heating mantle, and for me as I mentioned things resulted in a really dark red mixture, while for Saffron it ended up being a light yellow. It is worth mentioning though that the color, as far as there isn’t actual solid tar, isn’t a good indicator for the end result as my yield of 80% still ended up being more than satisfactory and actually exceeds Saffron‘s yield, probably as I ran it for fives day straight rather than “just“ three days, or because I used a larger excess of glycol which seems to help with the yield quite a bit, or both, who knows.

IMG_2282.jpeg - 877kB IMG_2285.jpeg - 644kB
image.png - 1.7MB

Also on the UV step, I ended up dropping the lamp and breaking it (whoops), but luckily the company was kind enough to give me a refund as there appeared to be a malfunction anyway so in the end it’s just delaying things slightly.

20250513_174325.jpeg - 685kB

And when I‘m already at it, I recently managed to cheaply get a 2 l reactor with a NS45 central joint (30€ including a few more pieces of glassware), and I‘m planning on using that on scaling up the UV step. I just gotta get a fitting internal tube, but that should be cheap to just get custom made. For cooling I‘ll just put reactor in a bucket and let a stream of cold water from my thermostat chiller run over it.

20250509_193837.jpeg - 516kB IMG_9287.jpeg - 201kB

[Edited on 15-5-2025 by Niklas]

chempyre235 - 15-5-2025 at 08:55

Masterful work, as always! Every time I see pictures of your lab, I get a little bit jealous. It looks nice.

I was recently reading about a theoretical derivative called "hypercubane" which would resemble the 4-dimensional cuboid, called a tesseract or hypercube. I wondered if it could be possible to synthesize this from cubane. So, I did a bit more reading.

I was thinking, monohalogenated cubane could undergo dehydrohalogenation to cubene, which is unstable, but easily partakes in Diels-Alder-type reactions. By applying the Hunsdiecker or comparable reaction to the dicarboxyl cubane, you should get the dibromo derivative, which can be used to get the cubene. This can be combined with butadiene to get the 3-cyclohexene-cubene fused ring product. This could continue until all four parallel bonds are occupied by cyclohexenes. Then, the rings would have to get ethylene bridges somehow...

What are your thoughts?

https://en.wikipedia.org/wiki/Hypercubane
https://www.ch.ic.ac.uk/local/projects/b_muir/Cubane/Cubanep...
https://en.wikipedia.org/wiki/Cubane

Hypercubane.png - 37kB Hypercube.png - 25kB

[Edited on 5/15/2025 by chempyre235]

Niklas - 16-5-2025 at 13:26

Thank you!

Hypercubane really is an interesting compound indeed, first read about I believe two years ago, and honestly put way too much thought into it since then, without ever coming up with anything good or practical. It doesn’t seem that hard to come up with a synthesis that would make it, but making that synthesis have a higher yield than 0.001% and short enough to actually be doable, well that’s the hard part.
Same I reckon unfortunately applies for the path you suggested, while it seems like a logical idea, this would only insert two of the cyclohexene rings with bad control of the regioselectivity (if we imagine using a dihalide accessed from the dicarboxylic acid), and that likely in a fairly bad yield as this is more of a capturing reaction than a synthetically viable one (milder elimination approaches of course make things more usable, but as those are based on AB-eliminations you‘d spend a whole lot more effort to still only end up installing two rings). And while I‘m sure there would be ways going from this, this would simply be unbelievably much effort with a lot of uncertainty connected.. Cubane and the typical derivatives just don’t feel like good starting points due to the inherent difficulty of late substitution and reactions on cubane, what most of my previous approaches had been based on is to create a top plane in some way, dimerize a corresponding cyclobutadiene derivative, and then connect the remaining four double bonds between the planes, but I ended up discarding most of that because of the quite impossible geometry of the required cyclobutadienes.

My latest idea I‘m taking in consideration is to use octa-cycopropylcubane or a similar derivative as a starting point, as this is available in two steps from dicyclopropylacetylene (https://onlinelibrary.wiley.com/doi/10.1002/anie.200605150), and already has the “octamethylcubane“ structure with the possibility of further substitution in place. But that was just a random thought I haven’t yet tried going from further. If I manage to come up with something I‘ll definitely mention it here though.

Anyway, new UV lamp is here, finally running as it should, this time being a little more careful with things.

20250516_172459.jpeg - 870kB

Directly set up a small test run of the [2+2] using 1,4 g of bisketone, following Bartoneks procedure, details will be given once I‘ll put together an actual writeup of that run like I did for the previous steps.

20250516_191543.jpeg - 790kB 20250516_213134.jpeg - 976kB 20250516_213619.jpeg - 949kB 20250516_213413.jpeg - 683kB

[Edited on 16-5-2025 by Niklas]

Small scale synthesis of crude cubane-1,4-dicarboxylic acid

Niklas - 18-5-2025 at 10:38

The below [2+2]-cycloaddition was performed using a Philips UV-B PL-L 36W/01/4p 2G11 as described by Bartonek in [1]. The following Quasi-Faworskii was also performed according to this procedure.

Cubane-1,4-dicarboxylic acid (crude):
In a 50 ml double walled two neck reaction flask (Note 1), equipped with a gas inlet tube on the side neck, 1,4 g of the Bisketone (4,4 mmol) were suspended in a mixture of 45 ml methanol and 8 ml dest. water. 75 μl of concentrated sulfuric acid (1,4 mmol) were added with the help of an Eppendorf pipette (Note 2), and the mixture magnetically stirred until all the solids eventually fully dissolved resulting in a yellowish solution, which was then sparged with argon for approximately 15 minutes and the flask capped. The mixture was irradiated with a 36W UV-B narrowband lamp for 24 h while passing water through the mantle of the flask to cool (Note 3), after which the mixture had turned notably more yellow and no more bisketone could be detected on analysis with TLC (3:1 hexane / ethylacetate; cerium(IV)-sulfate / polymolybdic acid stain). Bisketone rf=0,45; Cage intermediate rf=0,09 (Note 4)
The product solution was transferred to a 100 ml round bottom flask, the reaction vessel washed out with more methanol, and the methanol then removed by rotary evaporation, resulting in a yellow aqueous residue which was diluted with 10 more ml of dest. water and heated in a heating block warmed to 110 ° C for 2 h (Note 5). After cooling a solution of 4,05 g sodium hydroxide (101 mmol) in 15 ml dest. water was added at once to the now orangish solution, causing things to instantly turn brown, and the resulting mixture heated under reflux for 5,5 h in a heating block warmed to 120 °C with an Allihin condenser attached. After cooling somewhat 10 ml of fuming hydrochloric acid were carefully added to acidify, and after cooling in the fridge the precipitated solid was collected by gravity filtration, washed with a little dest. water, and dried under vacuum till constant weight. From this 303 mg (35,8%; 68% lit.) of a light brown powder was collected which was used in the esterification without further purification.

Note 1: While borosilicate isn’t fully transparent at the required wavelength of around 315 nm a borosilicate reaction vessel will do just fine. As far as a narrowband lamp isn’t used it’s actually less preferable to use quartz as the borosilicate acts as a filter from the lower wavelengths which cause undesired side reactions to occur.
Note 2: The exact amount of sulfuric acid used doesn’t strictly matter. Therefore, in case a microliter pipette isn’t available, one may just add 1-2 drops of the acid.
Note 3: The lamp itself doesn’t require any cooling as its temperature doesn’t exceed approximately 60°C even on running for multiple hours.
Note 4: It is worth noting that the cage compound shown in figure 1 of the introductory post is almost fully present as the dihydrate to release ring strain, therefore explaining the high polarity and low rf.
Note 5: This step presumably serves the purpose of hydrolizing any dimethylketal that may have formed during the UV-reaction.

The yield honestly is kind of disappointing, but for a first run it’s acceptable I guess, besides that I still have some mother liquors to potentially concentrate and get more product out of.


Pictures:

20250516_191543.jpeg - 790kB 20250516_213619.jpeg - 949kB 20250516_213413.jpeg - 683kB 20250517_211444.jpeg - 715kB
Fig.1-4 The [2+2]-cycloaddition

20250518_105608.jpeg - 288kB
Fig.5 TLC of the reaction mixture

20250517_220953.jpeg - 591kB
Fig.6 Removal of the methanol

20250517_223417.jpeg - 436kB 20250518_104544.jpeg - 855kB
Fig.7-8 Hydrolysis of potential Dimethylketal byproducts

20250518_105157.jpeg - 407kB 20250518_105305.jpeg - 415kB 20250518_105300.jpeg - 662kB
Fig.9-11 The Quasi-Faworskii reaction

20250518_194933.jpeg - 626kB
Fig.12 The crude diacid


Sources:

[1] Bartonek, A. et al. (2023). Sensitive 1,4-Disubstituted Nitro-Containing Cubanes: Structures and Properties. J. Org. Chem., 88/18, 12884–12890

Niklas - 18-5-2025 at 12:09

Now that it seems like I have the basic idea of the synthesis figured out and only have to scale things, still have to do the esterification of course which I just set up, it’s time for me to start thinking about the synthesis of some derivatives.

20250518_202406.jpeg - 616kB

There is quite a few things to try, but one obvious one which was partly my original motivation to make some cubane back when I started in 2022 is to make some energetic derivatives, most notably the classic nitrocubanes.
The simplest one to access from the diacid would unsurprisingly be the 1,4-dinitro derivative, and the typical synthesis consists of converting the diacid to the diacid chloride, react that with a source of azide, convert to the diamine by a Curtius, and oxidize using DMDO. There is one notable downside to this, and that is the Curtius rearrangement being rather sketchy to perform on such a substrate, having two acyl azides on an already strained structure really isn’t ideal.
So what I came up with, with some suggestions from Saffron, is a modified Lossen rearrangement which may allow direct access from the dimethylester to the diamine.

IMG_9377.jpeg - 122kB

This would be based on first generating free hydroxylamine from the hydrochloride with the potassium carbonate, which could then substitute the ester forming an acyl hydroxylamine intermediate, which could then rearrange itself to the diisocyanate from the carbonate (https://www.sciencedirect.com/science/article/abs/pii/S00404...), which could of course be hydrolized to the diamine as it‘s also the case when performing the Curtius.

This will probably be the first experiment I will try with my cubane, so if you have further suggestions on that I would like to hear.

Lionel Spanner - 18-5-2025 at 12:36

That's a good idea, putting the UV lamp inside the vessel - it saves you having to buy quartz flasks, and as a bonus, borosilicate glass blocks the majority of the UVC on the way out. Having the lamp outside the vessel always struck me as being very inefficient.

Niklas - 19-5-2025 at 02:01

Having a type of immersion well reactor is by far the most efficient way to perform the UV step yeah. For small scale an external lamp is fine, not that you even really have an option in this case as the reaction vessel is much smaller than the lamp (what Saffron has been doing is to run the reaction in a Schlenk tube and have a cold finger inside for cooling of the mixture, thought that was quite a nice idea that doesn’t require as specialized glassware as I used), but on scaling like I’m planning in my 2 l reactor outside irradiation becomes really inefficient.
Talking of that, the glassblower sent me a picture of the tube, will only get it in two weeks but I‘m definitely excited (let’s really hope the lamp fits xd).

Screenshot_20250516_072716_Gallery.jpeg - 88kB

Now getting back to my idea of preparing cubane derivatives, as I very briefly mentioned in the introduction my eventual goal is to prepare some cubane-biosteres of some psychdelic phenylethylamines. Originally I had a plan of preparing “cubane 2C-B“ simply because 2C-B is probably the most classic psychedelic of that substance class and because decarboxylative halogenation on cubane is well documented, and had proposed a seemingly pretty reasonable path, but as I learned recently cubanols have a strong tendency to fragment, and at least one intermediate would be such a compound, and therefore the path didn’t seem as ideal.
So, ideally one would just install the two methoxy groups by substitution of an intermediate such as the bisketal before even reaching a particularly strained intermediate, most easily done on the non-bridged cyclopentane ring. Unfortunately though, when trying to make the classic 2C-B biostere this way, one of the methoxy groups would strictly have to be located on one of the bridgehead carbon atoms, which would be extremely annoying to install to say the least. However, as Shulgin determined in his early research of trying different mescaline isomers, 2,5-diMeO-4-R isn’t the only active substitution pattern, ignoring the rather inactive 3,5-diMeO-4-R mescaline pattern, and 2,6-diMeO-4-R, called the Ψ-2Cs, are almost as active / potent generally. Those have barely been explored in the aryl world due to the considerable difficulty to prepare such a meta substituted system especially considering the particular simplicity of the normal 2C pattern, but in the cubane world they may actually be the easier targets.

IMG_9381.jpeg - 324kB

So I came up with the above path, installing the first methoxy group by conjugated addition on the monoketal followed by Saegusa-Ito oxidation to replenish the double bond. The second methoxy group would be installed by Hassner-Rubottom oxidation followed by simple methylation, and the cubane system then constructed and substituted by classical means.
Some notes should be made for the installation of the cubylethylamine unit, as this isn’t as simple of a process as it is for the aryl equivalents where you have the simple option of performing a Henry followed by reduction. Even if one would have an intermediary cubyl carbaldehyde to use for a potential Henry approach, as there wouldn’t be any aromatic stabilization on the nitroalkene I would guess the “nitrostyrene“ to be really unstable lowering the yield significantly. Because of this, together with the added inaccessibility of those aldehyde precursors, I proposed to first perform a modified Claisen condensation alkylating the cubyl carboxyl chloride with the nitroenolate of nitromethane (or nitroethane if the “amphetamine“ is targeted), followed by reduction of both the nitro group and ketone by the action of LAH and aluminumtrichloride.

wildfyr - 19-5-2025 at 06:22

For UV reactions like this, use a photosensitizer to improve your yield.

chempyre235 - 19-5-2025 at 07:09

Using cubanes as isosteres is an interesting concept. I'd imagine there are a few properties about it that change the effects and toxicity somewhat. For instance, benzenes (and several other aromatic hydrocarbons) are strongly carcinogenic for their ability to oxidize and become intercalated between nucleotides on the DNA strand, resulting in transcription errors. I can't imagine cubanes would be able to fit the same way, and their relative inertness would prevent oxidation in the first place.

As for cubane itself, is there some kind of aromatic behavior, is aromaticity possible? Some carbon clusters like adamantane (2+) and buckminsterfullerene (10+) display spherical aromaticity when protonated.

Niklas - 19-5-2025 at 07:32

@wildfyr The conversion of the UV cyclisation itself should be basically quantitative, as the lamp is already in the right range there would be no purpose in adding a sensitizer. There is of course the UV-A mediated approach Tom and Sam used that does use benzophenone as a sensitizer, but honestly it sucks, yield is quite a bit worse, it‘s much less clean (the reaction mixture goes completely brown as compared to using UV-B straight up where the color only slightly darkens to a yellow), and the benzophenone ends up being kind of more annoying to remove than it is described in the corresponding paper (https://pubs.rsc.org/en/content/articlelanding/2023/ob/d3ob0...). While it is obviously more accessible, considering the lamp Bartonek is using still just costs 70€ + maybe 15€ for a ballast, there is not much of a purpose in employing the photosensitized cycloaddition.
Gotta mention that there is an improved version of the benzophenone approach that recently got published that uses xanthone instead which seems to be quite a bit more suited (https://advanced.onlinelibrary.wiley.com/doi/10.1002/adsc.20...), but quantitative conversion remains quantitative conversion, so I still don’t see much of a benefit compared to using UV-B as one would first have to prepare the xanthone which in this case is unnecessary additional effort.

@chempyre235 Have been thinking about there being no potential for undesired aromatic oxidation by something like P450 as well, potentially lowering the toxicity in some aspects (kinda ironic that something as strained as cubane ends up being more resistant towards enzyme processes than “stable“ aromatic compounds). And I‘m pretty sure I did read that this is indeed the case, but I can’t recall where.
I would not know about there being a possibility to make cubane display aromaticity, one first glance couldn’t find anything in literature either.

Small scale synthesis of Dimethyl cubane-1,4-dicarboxylate

Niklas - 20-5-2025 at 09:13

The most typical catalyst used for this esterification by far is hydrochloric acid, as has been described in countless papers [1][2][3], and also by Chemiolis and Extractions&Ire in their YouTube videos regarding that topic [4][5]. In a more recent paper, which is kind of interesting overall as it’s an improved version of the 385 nm benzophenone sensitized approach using xanthone as I mentioned earlier, cation exchange resin is used instead appearing to improve yields somewhat (78% vs. 65% looking at Kalpötke‘s yield using HCl), what is obviously a fairly big deal this far down a multistep synthesis so I decided to go for that. I did however follow the purification described by Klapötke [1], as this conveniently consists of a simple Soxhlet extraction with hexane which is undoubtedly far superior to both column chromatography and vacuum sublimation.

Dimethyl cubane-1,4-decarboxylate:
All the crude cubane-1,4-dicarboxylic acid from the previous step (303 mg; 1,58 mmol assuming 100% purity) was placed in a 25 ml round bottom flask containing a stirbar and suspended in 2,6 ml of dried Methanol (Note 1). 36 mg of strongly acidic ion exchange resin (Note 2) were added, the flask flushed with argon, and the mixture refluxed with an Allihin condenser attached for 16 h using a hot sand bath. During the heating period all the carboxylic acid dissolved resulting in a dark brown solution, and on cooling a crystalline solid precipitated which was redissolved by addition of 10 ml dichloromethane. The resin was removed by filtration through a piece of glass wool, and the solvent removed by rotary evaporation leaving behind an amorphous brown solid. This was transferred to a Soxhlet thimble, wiping down the flask with some paper towel to ensure quantitative transferring, extracted for 26 h using hexanes (Note 3), and the solvent of the yellowish extracts again removed by rotary evaporation. After drying under vacuum 318 mg (91,6%; 79% lit.) of some light yellow slightly waxy flakes were collected. Structural confirmation using NMR will soon follow.

Note 1: The methanol was dried using 3Å molecular sieves. As the reaction can also be performed with aqueous hydrochloric acid as the catalyst I doubt it really matters too much though.
Note 2: The cation exchange resin used stems from a Merck sample part of the Ph. Eur. reagent kits supposed to be used by pharmacies. It’s the same catalyst that was used in the cyclopentanone ethylene ketal synthesis described above).
Note 3: The time needed is of course dependent on the reflux rate, I just ran it for this long because I wouldn’t have the time to work up before that anyway. When following this procedure you should decide yourself when things are done, ideally by taking small samples of the solvent currently in the Soxhlet and evaporating on a watchglass.

This yield is pretty damn impressive (surprised that I can say that for once in this synthesis lol), and I honestly don’t know of a reported literature yield higher than that. Of course the product is still quite yellow, but in many sources it is described as an off-white to yellowish solid even though appearing pure in the NMR, so I am quite hopeful that this isn’t full of some undesired junk either.


Pictures:

20250518_202603.jpeg - 336kB 20250518_203418.jpeg - 449kB
20250518_202406.jpeg - 616kB
Fig.1-3 The esterification

20250519_131057.jpeg - 379kB 20250519_140435.jpeg - 504kB
Fig.4-5 The crude product and purification by Soxhlet extraction using hexanes

20250520_172027.jpeg - 728kB
Fig.6 The final product


Sources

[1] Bartonek, A. et al. (2023). Sensitive 1,4-Disubstituted Nitro-Containing Cubanes: Structures and Properties. J. Org. Chem., 88/18, 12884–12890
[2] Collin, D. E. et al. (2020). Decagram Synthesis of Dimethyl 1,4-Cubanedicarboxylate Using Continuous-Flow Photochemistry. Synth., 53/7, 1307-1314
[3] Tsanaktsidis, J. Bliese, M. (1997). Dimethyl Cubane-1,4-dicarboxylate: A Practical Laboratory Scale Synthesis.
Aust. J. Chem., 50/3, 189-192
[4] https://youtu.be/zjp1aR6dSh4?si=mOQjCf5wZlBJ6qfa ; last accessed: 20.05.2025
[5] https://youtu.be/FYLkrnFVGCA?si=FgIDOFS93SsScMaR ; last accessed: 20.05.2025
[6] Yan, B. et al. (2024). Synthesis of Bishomocubanone Derivatives via Visible-Light-Induced Intramolecular [2+2] Cycloaddition Reaction. Adv. Synth. Catal., 367/7


Acknowledgements:

I guess as this is the first “final goal“ of this long projects it’s worth acknowledging some of the people that helped on the way. A big thanks goes out to Saffron Ravenspear and Andreas Bartonek for giving theoretical advice from their own experiences with this synthesis, without which things likely would have ended up being a lot more of a pain and at times a lot more discouraging.

Niklas - 20-5-2025 at 09:28

The total yield of that small scale run would be a kinda disappointing 8,9% (80%, 47%, 71,8%, 35,8%, 91,6%) by the way, but as I highlighted previously it was at times somewhat badly executed and especially on the 47% bromination Dield-Alder sequence there is lots of room for improvement (and from that also the deprotection yield of 71,8%, as with a more properly executed previous step the lossy purification would become unnecessary). Also for the [2+2] Faworskii sequence there is still mother liquors to concentrate which do actually already have some more solid precipitating, so maybe I can manage to still at least reach a two digit yield.

Niklas - 21-5-2025 at 11:34

So, first of all, by concentrating the mother liquors of the diacid to a volume of 10 ml, filtering off the solid, extracting with methanol (to separate from the sodium chloride that started precipitating at that point), and removing the solvent by rotary evaporation 130 further mg of a brown solid could be collected, adding 15,4% to the percentage corresponding to a total of 51,2% (68% lit.). Still not perfect, but if the esterification of this sample works just as well as for the first crop the total yield from bisketone to diester would at least be pretty close (46,9%; 53,7% lit.).

And on another note, another theoretical cubane synthesis I came up with and would like to hear your thoughts on, this time for 9-azahomocubane (which I would make the lysergamide of for fun as far as it works, but that’s a different story lol). It‘s based on the synthesis of basketene, where COT and maleic anhydride are reacted in a Diels-Alder reaction followed by [2+2]-cycloaddition and removal of the two carboxylates by a Trost-Chen type of reaction, and I‘m sure one could also make the azahomocubane from that by typical techniques, but this would barely be more, if not less practical than what’s currently reported for azahomocubane.

IMG_9410.jpeg - 209kB

So instead of doing a [4+2] Diels-Alder I wondered whether maybe a [4+1]-cycloaddition with a nitrene would work (it may not be a direct [4+1] but proceed via an aziridine which would rearrange by a [1,3]-sigmatropic rearrangement, but that’s irrelevant), and after checking literature those appear to actually be a thing (https://pubmed.ncbi.nlm.nih.gov/21887836/) so this is what I came up with (using and acyl azide as an exemplary nitrene source, I‘m sure there are better and especially safer options).

IMG_9409.jpeg - 99kB

chempyre235 - 23-5-2025 at 10:39

Not to change the subject, but I was thinking back to hypercubane. If one were to start with di-t-butyl acetylene, which would undergo [2+2] cycloaddition to tetra-t-butyl cyclobutadiene. The diene could then be made to undergo addition in a manner similar to the tetra-aryl derivative. All of the carbons would be there and in the correct locations (roughly), and the cubane core would be protected, but a way to bridge the methyl groups still eludes me.

Also, do you know what kind of yields you'd be looking at for additions versus the conventional synthesis? I'd imagine they'd much better yields, but I don't know.

On another note, the aromaticity of adamantane is actually a dication of didehydroadamantane, which forms a tetrahedral aromatic bond at the four tertiary carbons. Since cubes also have tetrahedral symmetry, I wonder if cubane might be able to work similarly.

Lastly, barrelenes (which can be made from catechol and acetylenes) seem like they might also be viable routes to cubanes.
Quote:

Epoxidation of barrelene with oxone gives the trioxatrishomobarrelene, which on rearrangement with boron trifluoride (driving force: relief of strain energy), converts into the trioxatrishomocubane.

It can also form cyclooctatetraene photolytically. Perhaps a well-placed sterically hindered leaving group could force isomerization to cubane instead.

https://onlinelibrary.wiley.com/doi/10.1002/anie.198707611
https://en.wikipedia.org/wiki/Four-center_two-electron_bond
https://en.wikipedia.org/wiki/Spherical_aromaticity
https://en.wikipedia.org/wiki/Barrelene

[Edited on 5/23/2025 by chempyre235]

Niklas - 23-5-2025 at 13:28

Had some thought on hypercubane as well lately, didn’t get anywhere with the idea I once mentioned above, but today I came up with this rough “unpolished“ path.

IMG_9432.jpeg - 307kB

It is based on some of Gleiter‘s work, particularly his work on dimerizing cyclobutadiene by fixing the two rings with four 1,3-propylene groups.

IMG_9433.jpeg - 302kB IMG_9434.jpeg - 178kB

For this cubane synthesis in particular there ends up being a photoequilibrium created that only contains the product in a ratio of 1:14, but for my proposed application it would likely be fixed into its position even further and as we know from the tetramerization of something like dicyclopropylacetylene the dimerization of cyclobutadiene can work in synthetically viable yields at times.
The dienediyne synthesis is unfortunately really low yielding (like 5% at maximum), but not like anyone will be attempting this whole scheme anytime soon anyway so whatever.
A lot is still just kind of open questions and guesswork, but that’s just how it is sometimes, I will try my best further improving my ideas on hypercubane‘s synthesis though.

Trihomocubane is a lot less strained than actual cubane so I have my doubts whether barrelenes are really that great of a potential cubane precursor. But maybe it would be of use somewhere, so neat nonetheless.

Niklas - 24-5-2025 at 02:35

Quote: Originally posted by Niklas  
So, first of all, by concentrating the mother liquors of the diacid to a volume of 10 ml, filtering off the solid, extracting with methanol (to separate from the sodium chloride that started precipitating at that point), and removing the solvent by rotary evaporation 130 further mg of a brown solid could be collected, adding 15,4% to the percentage corresponding to a total of 51,2% (68% lit.). Still not perfect, but if the esterification of this sample works just as well as for the first crop the total yield from bisketone to diester would at least be pretty close (46,9%; 53,7% lit.).


It appears that the dark brown residue didn’t contain much actual cubane dicarboxylic acid, as esterification and purification by same means as described above only yielded 56 further mg (38,6%) of a yellowish solid.
This means in total 374 mg of dimethyl cubane-1,4-dicarboxylate were collected as a yellowish solid / yellowish flakes, corresponding to a total yield of 38,6% (53,7% lit.) starting from 1,4 g bisketone.

20250523_171637.jpeg - 746kB

(Improved) small scale synthesis of dimethyl cubane-1,4-decarboxylate from the bisketone

Niklas - 26-5-2025 at 10:37

So I redid the whole synthesis starting from my bisketone at the same scale (4,4 mmol), and even though I did barely any changes to the procedure, things somehow yielded quite a bit more product in comparison so that’s odd, but I definitely won’t complain. So here is the (a bit more brief, as it’s the same for the most part) notes of this run.

Cubane-1,4-dicarboxylic acid (crude):
The [2+2]-cycloaddition was carried out in the exact same manner as before using 1,4 g of the bisketone (4,4 mmol), with full conversion being detected after the 23rd hour on analysis with TLC (3:1 hexane / ethylacetate; cerium(IV)-sulfate / polymolybdic acid stain), again resulting in a yellow solution. The methanol was removed by rotary evaporation, the yellow aqueous residue diluted with 7 further ml of dest. water, and the mixture refluxed for 3 h by heating in a sand bath with a Dimroth condenser attached. To the slightly darkened, still hot mixture the sodium hydroxide solution is quickly added, and the reflux continued for 16 h. On cooling to room temperature the resulting dark brown solution is brought to a pH of 1-2 by addition of 8 ml fuming hydrochloric acid, and after cooling in the fridge the crude diacid is collected by gravity filtration and dried under vacuum. From this 726 mg (81,6%; 68% lit.) of a glittering brown powder were collected, which was again processed as such without further purification. Further diacid may potentially be isolated from the mother liquors in the same manner as described for the previous run.

Dimethyl cubane-1,4-dicarboxylate:
All the intermediate diacid (726 mg, 3,8 mmol assuming 100% purity) was transferred to a 50 ml round bottom flask and taken up in 6,3 ml of dry methanol. To this 86 mg of strongly acidic cation exchange resin were added, the flask flushed out with argon, and the mixture refluxed for 14 h by heating in a sand bath with an Allihin condenser attached. After working up in the same manner as described above 592 mg (71,2%; 79% lit.) of a light yellow solid were collected.

In total this corresponds to a yield of 61% (53,7% lit.) over three steps from bisketone to diester.
I‘m currently working on figuring out an approach for purification to remove this yellow impurity without much product loss, will hopefully find something viable in the nextweek or two. Will also revisit the bromination soon (not with the full 500 ml of ketal but on a maybe 40 ml test scale as this is currently the only other unsatisfactory aspect of this whole procedure.


Pictures:

20250521_185447.jpeg - 823kB
Fig.1 The [2+2]-cycloaddition

20250524_082536.jpeg - 648kB
Fig.2 The crude diacid

20250524_101024.jpeg - 622kB
Fig.3 The Faworskii reaction

20250525_114222.jpeg - 513kB 20250526_182747.jpeg - 829kB
Fig.4-5 The crude and purified dimethylester

Some analysis of the dimethylesters

Niklas - 28-5-2025 at 07:28

Finally got around to doing some analysis of the final products, and things appear to have indeed been successful :D

For the melting points, the visibly more yellow product from the first less successful run melts at 157-160 °C while the sample of the last run melts at 161-165 °C (161-165 °C lit.).
For this first sample I also did some further instrumental analysis, and the NMR spectra (done in CDCl3), 13C and 1H, are shown below.

image.png - 85kB image.png - 78kB

Overall they more or less look as they should, of course not being completely pure, but considering the melting point difference I expected worse. Based on all this I would guess that when executed properly like in the last run that had a yield of 61% from bisketone to diester further purification after the Soxhlet extraction isn’t required.
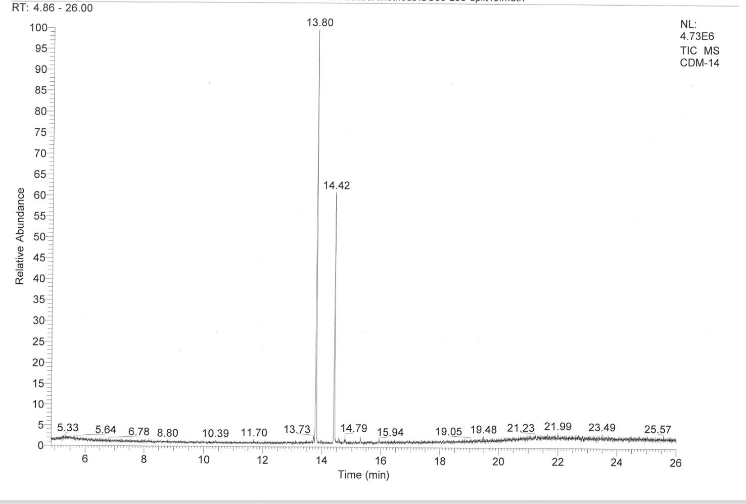
Also ran a GCMS of this less pure product, and the data is shown below.

Screenshot_20250527_163448_OneDrive.jpeg - 53kB
Screenshot_20250527_163457_OneDrive.jpeg - 48kB Screenshot_20250527_163505_OneDrive.jpeg - 52kB

This one is interesting as we can see two Major peaks of similar retention time in the GC which have the same parent peak and overall many same weight fragments in the MS. Based on this and the NMR data this is likely from the cubane system partly rearranging itself in the gas chromatograph to something like the cuneane.

chempyre235 - 28-5-2025 at 07:51

Nicely done!

Now you can do a transesterification with ethylene glycol to get the cubic analogue of PET! :P

Seriously though, good work!

Honestly, I wonder how cubane would affect the properties of polyesters or polyamides.

[Edited on 5/28/2025 by chempyre235]

Niklas - 28-5-2025 at 11:22

That is actually on by bucket list of cubane substances to make, considering my early research was in polymer chemistry and I have all the other required stuff around (TiPT and Sb2O3) I kinda feel obligated to do it honestly.
Once I scale up the diacid synthesis, aiming to process maybe 100 g of bisketone eventually and leave the rest for the psychedelics, I‘ll most definitely give cubane PET a shot, but that may still take a while as I‘m currently somewhat procrastinating on making 700 ml of bromine xd

Some considerations on the synthesis of the cubylethylamine-unit

Niklas - 2-6-2025 at 02:35

On the topic of the planned cubane psychedelics, there is one aspect that seems really simple on first sight but turns out to be not nearly as straightforward on further consideration, and that’s installing the ethylamine / propylamine unit.
Typically one would proceed via a Henry reaction to make the ß-nitrostyrene to then reduce to the amine, generally with lithium aluminumhydride or sodium borohydride / copper chloride.

IMG_9484.jpeg - 151kB

There is a couple problems or at least inconveniences with that idea when going from phenyls to cubyls, starting with the least problematic one, cubyl aldehydes just aren’t nearly as easily accessible by a one step process as aryl aldehydes where you can conveniently perform a Vilsmeier or Rieche or other formylation of some sorts. As the carboxylates are generally the key intermediates in cubane related synthesis this can be solved by either selective DIBAL-reduction (this one is kind of inaccessible to do at home) or a LAH-reduction Albright-Goldman-oxidation sequence though.

IMG_9485.jpeg - 169kB

Now to the actual issues of the Henry approach, most notably the “ß-nitrostyrenes“ (and “nitropropenes“) would likely be exceedingly unstable as there is no stabilization by the aromatic system and even then most actual ß-nitrostyrenes exhibit at least some level of heat sensitivity. This would add some considerable difficulty to the whole process, especially as the beta-hydroxy intermediates won‘t eliminate nearly as easily here, again because of the lack of conjugation with the aromatic system, so one would presumably have to apply heat to get the reaction going which would lead to degradation and end up in a bad yield at best.
The obvious solution is to first quantitatively make the more stable addition product and then in-situ dehydrate with something like DCC during the reduction, but I honestly have my doubts whether this will be all too satisfactory either.

IMG_9486.jpeg - 102kB

So, what alternatives are there to make both cubylethylamines and cubylisopropylamines? One idea I have already proposed in the cubane Ψ-2C-B synthesis, which is to proceed via the acyl chloride, do a type of Claisen by reaction with the quantitatively deprotonated nitroalkane (nitromethane on the graph), a kind of enamine equivalent would be preferable but I don’t think that’s a thing for d1 reagents, and then a reduction of both the nitro group and remaining ketone using alane.

IMG_9487.jpeg - 95kB

Another pretty intuitive approach only applicable for the ethylamines (it can be extended to make the isopropylamines as shown below but that really doesn’t seem like the first choice for those) is to make the “benzyl chloride“ from the alcohol, followed by Kolbe nitrile synthesis followed by typical LAH reduction.

IMG_9488.jpeg - 111kB

For the cubylethylamines that’s pretty much it, at least I can’t think of anything else that feels particularly viable, as all the other approaches proceed via a carbonyl intermediate and such aldehydes would come with instability issues on their own, but for the cubylisopropylamines the corresponding cubylacetones very much seem like viable intermediates. From this the N-alkyl amphetamines could easily be accessed as well, and while generally not of interest for psychedelic substrates, it may still turn out to be of use.
One of the most promising ideas for that is to proceed by a Darzens-condensation with ethyl 2-bromopropionate (EBP), itself easily available from alanine in two steps (https://youtu.be/KUOC5fSmejo). As cubane carbaldehyde, just like benzaldehyde, isn’t enolizable, this process should overall work the same as it would for the aryl equivalents.

IMG_9489.jpeg - 91kB

The remaining approaches I could imagine all proceed via cubyl bromides (or halides in general, just that the bromides are the easiest to make), which are accessible from the carboxylic acid either by a one-step Hunsdiecker process with mercury(II)-oxide and bromine or a three-step Barton approach with NBS as a bromine radical source, second likely being the cleaner and higher yielding one especially for more substituted substrates.

IMG_9490.jpeg - 202kB

Going from the cubyl bromide to the cubylacetone may be possible by a one-step process, using a reaction Sam has covered for the synthesis of DFMDMA (https://youtu.be/i43mLFsw6SM?si=z3oOXax3fH25P4zi), and even though the yields appear to not be particularly amazing, it’s still worth to keep in mind I suppose.

IMG_9493.jpeg - 86kB

The last approach I wanna mention is to make the Grignard reagent of cubane, react that with propylene oxide to make cubylisopropanol, and then simply oxidize to the ketone. Now that I think about it doing the Grignard with ethylene oxide followed by halogenation followed by Gabriel synthesis would also be another path leading to cubylethylamines, but that would be a whole lot of effort and doesn’t at all seem viable compared to the alternatives.

IMG_9494.jpeg - 89kB

Overall my personal go-to approaches to use will likely be the modified Claisen approach to make the “phenylethylamines“ and the Darzens approach to make the “amphetamines“, but to my knowledge Brotato is planning to explore the propylene oxide route as well, and I‘m sure I will try the acetylacetone route at one point or another too.

Niklas - 3-6-2025 at 12:55

I did a first attempt of the cubane-1,4-diamine synthesis I proposed above, and while it unfortunately failed I think I now have and idea how to do it properly. So what I did is the following:

A 20 ml vial was charged with 44 mg of hydroxylamine hydrochloride (0,63 mmol), 44 mg of dimethyl cubane-1,4-dicarboxylate (0,2 mmol) and 220 mg potassium carbonate (1,59 mmol) and the solids taken up in 2 ml of DMF. The vial was loosely capped, and the mixture warmed in a 105 °C silicon oilbath for 1 h, during which time it turned from a greenish color to a light yellow. 10 ml of dest. water were added resulting in the precipitation of a white solid which only partly redissolved on acidification with fuming hydrochloric acid, indicating incomplete conversion.

20250602_141838.jpeg - 511kB 20250602_141828.jpeg - 312kB

The obvious solution to this is to just run the reaction for longer, but cubanes can rearrange to the corresponding cuneanes when extensively heated especially in atropic solvents so this should better be avoided. Considering the reported reaction time for the Lossen is 5 minutes there definitely has to be some way to improve the reaction rate, and on reading the paper again they particularly mention that the use of well dried potassium carbonate accelerates the reaction.
This in itself wouldn’t be an issue, but as my idea was based on generating the hydroxamic acid in-situ using hydroxylamine generated from its hydrochloride, there would inevitably be at least an equimolar amount of water to hydroxylamine present. So, to get around this, my next attempt will be to first run the substitution in a solvent like methanol, then remove all the volatiles including water, redissolve the residue of crude hydroxamic acid in DMF and finally run the Lossen.

Synthesis of Polyethylene cubane-1,4-dicarboxylate (“Cubane-PET“)

Niklas - 14-6-2025 at 02:46

Hello again,
I did a lot of testing regarding the purification of the diester lately, and I will soon put together a post detailing my experiments in that regard. With some of the resulting material I‘ve decided to already look into some simple synthesis of symmetrical derivatives (I’m still somewhat limited to what I can do as my mercaptopyridine-N-oxide will take a while to arrive), and will soon hopefully be able to prepare the 1,4-diodo compound and 1,4-diphenyl compound using some lead(IV)-acetate I‘m making at the moment of writing this [1].
One small synthesis I have already successfully (?) executed is based on a suggestion of @chempyre235, and that’s the polyester of cubane-1,4-dicarboxylic acid and ethylene glycol, which especially considering the hexagonal plane found in cubane resembling benzene (which also gives it its biosteric properties which will be of relevance to me in the future) can definitely be called “cubane-PET“. To my knowledge this compound hasn’t been reported before, but I may definitely have missed something, so feel free to call me out on that. In the future I will be analyzing the product with DSC to get an idea of the glass transition temperature, and of course also get an NMR to check whether I even have the desired product here at all.
Here a quick overview of the synthetic paths explored, and details as always are given below.

IMG_9621.jpeg - 91kB
Fig.1 Synthetic paths leading towards “cubane-PET“

Failed direct synthesis according to [2]:
In a 10 ml round bottom flask containing a boiling stone, 250 mg Dimethyl cubane-1,4-dicarboxylate (1,41 mmol) (Note 1) were taken up in 4 ml of ethylene glycol. A small piece, around 5 mg, of pentane washed sodium (0,2 mmol)was added (Note 2) was added, an air cooled Liebig condenser attached, and the mixture refluxed for 45 min by warming first in a hot sand bath and later in a hot silicon oil bath. During this period the color slowly darkened via a red to a dark brown, and then the condenser was quickly switched out for a short path distillation bridge so all the formed methanol is removed. On reaching 150 °C in the distillation head the heating was stopped, and the mixture cooled in the freezer in hopes of separating the desired product polymer. This only caused the brown mixture to take on a honey like consistency though, and as no product could be separated on addition of water either this run was discarded (Note 3).

Note 1: The diester used in this preparation is from the sample prepared in the second run documented here and was used without further purification.
Note 2: In hindsight it likely would have been preferable to first dissolve the sodium in the glycol and then add the ester to avoid a reduction by a Bouveault-Blanc mechanism, but it’s questionable whether this would really have caused any difference to the final outcome
Note 3: I‘m not entirely sure what went wrong, I suppose the cubane system may not particularly like the temperatures of almost 200 °C, but either way it’s odd to not get any percipitate at all. The direct synthesis approach may potentially still be successful by using a different catalytic system like Sb2O3 / TIPT [3], but I deemed that to be somewhat of a pain and therefore went for a more straightforward approach via the acid chloride.

20250603_171646.jpeg - 580kB 20250603_173124.jpeg - 678kB
Fig.2-3 Failed synthesis of “cubane-PET“ by base catalyzed transesterification

Synthesis of cubane 1,4-dicarboxylic acid:
In a 250 ml round bottom flask, 917 mg of dimethyl cubane-1,4-dicarboxylate (4,16 mmol) (Note 1) were taken up in around 30 ml of distilled water. 0,5 g of sodium hydroxide (12,5 mmol) and a boiling stone were added, the flask swirled to dissolve the base, and the mixture refluxed for 3,5 h with an Allihin condenser attached by heating in a heating block. After cooling the yellowish mixture was washed once with 20 ml of MTBE (Note 2), and then finally acidified by careful addition of 1,2 ml of fuming hydrochloric acid (Note 3). The precipitated solid was collected by gravity filtration, washed twice with a little more distilled water, and then dried under vacuum, resulting in 705 mg (88,1%) of a crystalline cream colored powder, decomposing with darkening at 223-224 °C (222-224 °C lit.). By evaporation of the mother liquors to a volume of 10 ml 9 mg of further somewhat more beige product could be collected, due to the questionable purity and negligible quantity this was discarded though.

Note 1: The diester used in this preparation was made by the typical procedure previously documented and further purified by soxhlet extraction on silica. This process will soon be explained in a future post of mine.
Note 2: The MTBE washing barely took out any color so it very likely made no difference to the end result. Washing with DCM may be more satisfactory but overall one can likely just pass on this step.
Note 3: It appears to be of great importance to only add the acid when cooled, as otherwise a considerable amount of salt impurities will get trapped in the resulting crystals.

20250610_161608.jpeg - 643kB 20250611_180337.jpeg - 246kB
Fig.4-5 Saponification of the dimethylester and the collected diacid product

Synthesis of Polyethylene cubane-1,4-dicarboxylate [4]:
In a 10 ml round bottom flask 200 mg of cubane-1,4-dicarboxylic acid (1,04 mmol) were suspended in 3 ml of dry dichloromethane. 0,19 ml of oxalylchloride (2,25 mmol) (Note 1) were added with the help of a syringe, followed by a drop of DMF, causing some instant gas generation and the solid to gradually start dissolving. The flask was capped with a septum, and from time to time shaken and vented over the course of 45 min (Note 2). After this period a small quantity of material still hadn’t dissolved, so 3 more ml of DCM and 0,1 ml of oxalylchloride (1,18 mmol, 3,43 mmol in total) were quickly added and the mixture left to stand for 30 more min. The solvent and other volatiles of the resulting yellow solution were removed under a 10-20 mbar vacuum without heating (Note 3), and the beige to yellowish residue of crude cubane-1,4-diacylchloride used as such without further purification or characterization (Note 4).
This solid was redissolved into 5 ml of dry chloroform, and meanwhile in a separate 50 ml round bottom flask 160 μl pyridine (1,98 mmol) and 56 μl ethylene glycol (1 mmol) were dissolved in 5 ml of chloroform as well (Note 5). The solution of acid chloride was swiftly added to the reaction mixture minimizing exposure to atmospheric moisture, the flask capped with a stopper, and left to stand for approximately 5 h, during which time a white solid consisting of pyridine hydrochloride and part of the product polymer precipitated. The solvent was removed by rotary evaporation, the yellowish residue suspended in 20 ml of half saturated sodium bicarbonate solution, and then collected by gravity filtration. After throughly washing with dest. water and drying under vacuum 143 mg (63%) of a beige amorphous solid were collected, which for further purification was suspended in 5 ml of 96% ethanol and again filtered and dried. From this 98 mg (43,2%) of an off-white to grayish powder were collected as the final product (Note 6)(Note 7).

Note 1: The sample of oxalylchloride used was purchased from Sigma Aldrich and had turned somewhat yellow over the course of one year in storage, but was used in this preparation without further purification potentially explaining why a larger than usual excess had to be used.
Note 2: Especially on larger scales it is quite advisable to use magnetic stirring, I just had no clean stirbars left fitting this flask so this had to suffice.
Note 3: For reasons unknown to me it’s apparently really important not to heat during the solvent removal as is explicitly noted in countless papers, though Sam managed to successfully prepare his acid chloride even though he did heat during the vacuum distillation, so it remains an open question of how relevant it really is.
Note 4: From what I can tell basically all literature regarding the synthesis of cubane-1,4-diacyl chloride is simply refluxing the carboxylic acid in thionyl chloride [5]. That overall feels like a more convenient procedure for this substrate and likely what I will be employing in the future, I just didn’t have any thionyl chloride around at the time.
Note 5: The solvent quantity used here is definitely excessive, this was mostly to somewhat help limit mechanical losses at least in this part of the process.
Note 6: While the yield isn’t particularly amazing it is hardly surprising as mechanical losses, especially for such a generally insoluble material, will have a huge impact on this scale. On scaling up the whole cubane synthesis I may revisit this polymer synthesis on an overall larger scale, so it will be interesting to see the difference.
Note 7: An attempt was made to create a type of plastic film by dissolving the solid into benzene and slowly evaporating with the aid of a heatgun, but the solubility turned out to be too low for this to be a viable process. Hexafluoroisopropanol would likely be required to achieve this which is well known for being one of the best, if not the best, solvents for dissolving normal PET while still having a reasonable volatility, it is unfortunately rather pricey though so I don’t know when I‘ll get around to purchasing it to check.

20250612_101046.jpeg - 377kB 20250612_101913.jpeg - 862kB
Fig.6-7 Synthesis of cubane-1,4-diacyl chloride

20250612_124304.jpeg - 270kB 20250612_134737.jpeg - 295kB
Fig.8-9 Dried acid chloride and it’s solution in chloroform

20250613_165054.jpeg - 189kB 20250614_092719.jpeg - 886kB
Fig.10-11 Crude and ethanol washed “cubane-PET“


Sources:

[1] Della, E. W. Head, N. J. (1995). Synthesis and 19F and 13C NMR Studies of a Series of 4-Substituted Fluorocubanes: Resonance Dependence of 19F Chemical Shifts in a Saturated System. J. Org. Chem., 60/16, 5303–5313
[2] Cammidge, A.N. (1999). An Undergraduate Experiment in Polyester (PET) Synthesis. J. Chem. Educ., 76/2, 236
[3] Cholod, M.S. Shah, N. M. (1982). Catalyst system for a polyethylene terephthalate polycondensation. US4356299A
[4] Fahrenhorst-Jones, T. et al. (2023). 1-Azahomocubane. Chem. Sci., 14/11, 2821-2825
[5] Eaton, P. E. et al. (1995). Barton Decarboxylation of Cubane-1,4-dicarboxylic Acid: Optimized Procedures for Cubanecarboxylic Acid and Cubane. Synth., 1995/5, 501-502

Improved one-pot synthesis of endo-2,4-Dibromodicyclopentadiene-1,8-dione diethylene ketal (“Bisketal“)

Niklas - 19-6-2025 at 02:33

So I‘ve decided that I would stick to the one-pot procedure I described before (with the modifications stated), as with my 10 l round bottom flask I now actually have a vessel large enough to execute this reaction with the ~500 ml of ketal left after this second testrun. Doing that will be quite a task, but I‘m excited, still getting stuff together and should hopefully be able to do things late summer or early autumn. But anyway, considering the rather bad results of the last run I‘ve decided to do another test following Collin‘s paper more closely, and this is being described below [1].
In case you are wondering the post regarding the purification of the dimethylester will still follow.

endo-2,4-Dibromodicyclopentadiene-1,8-dione diethylene ketal (“Bisketal“):
In a 1 l three-neck round bottom flask, equipped with an internal thermometer and a 500 ml pressure equalizing addition funnel, 50 g of cyclopentanone ethylene ketal (0,39 mol) (Note 1) were dissolved into 310 ml of 1,4-dioxane (Note 2) and the resulting solution sparged with argon for 15 min. Meanwhile the addition funnel was charged with 70 ml of bromine (1,37 mol) (Note 3) and stoppered, and the remaining side neck of the flask connected to a gas washing bottle filled with concentrated sulfuric acid with an intermediary safety washing bottle in case of suckback. The mixture was cooled to 5-10 °C with the help of an icebath, and the bromine slowly added over with strong magnetic stirring the course of 3 h making sure to keep the temperature in the range of 10-15 °C (Note 4). Initially the bromine color instantly disappeared on addition, though towards the end a scarlet solution remained which was then stirred for 21 h at room temperature (25-30 °C) (Note 5)(Note 6).
Following this the addition funnel was moved to the side neck and a Dimroth attached to the flask. A solution of 121,4 g sodium hydroxide (3,04 mol) in 610 ml methanol was then gradually added through the addition funnel over the course of 1,75 h, initially causing the mixture to lighten up over an orange to a light yellow color, but then suddenly darkening again resulting in a light brown suspension of sodium bromide (Note 7). The flask was moved to a heating mantle and the mixture heated to a mild reflux for 24 h, after which the product was precipitated by pouring into 1,25 l of dest. water. The reaction flask was washed out twice using 250 ml of dest. water each and once with a little 96% ethanol, and the solid collected by vacuum filtration after standing in the fridge for 2 h. Things were washed with a total of around 300 ml more dest. water, pulled as dry as possible on the pump, and finally dried under vacuum till constant weight. From this 66,04 g (83,4%; 88% lit.) of a slightly off-white powder were collected which was directly forwarded to the deprotection (Note 8).

Note 1: The sample of cyclopentanone ethylene ketal used stems from the synthesis run described in this thread and has a refractive index of 1.448 (1.448 lit.). It was stored over 3Å molecular sieves prior to use.
Note 2: The dioxane used was dried using sodium / benzophenone earlier this year and stored under argon over 3Å molecular sieves ever since.
Note 3: The sample of bromine used was prepared by the oxidation of potassium bromide with sodium persulfate and dried by first washing with concentrated sulfuric acid, then refluxing over phosphorus pentoxide, and finally redistilling.
Note 4: There is a rather rapid exotherm initially due to the fast mono-bromination, towards the end the temperature is easily controlled though. It is reported in literature that having the temperature exceed 30 °C even for short periods only results in tars in the following Diels-Alder [2].
Note 5: Temperature has a huge impact on the reaction speed, being finished in a few hours at a temperature of 27 °C while taking days at 15 °C [2]. In case your “room temperature“ is closer to 20 °C it may be advisable to stir for two days rather than just 20 h, even though in [1] a reaction time of 20 h is reported for regular room temperature.
Note 6: If isolation of the tribromoketal intermediate is desired the solution resulting from this sequence should be poured into diluted sodium carbonate, the mixture seeded, and the precipitated solid filtered and washed with diluted sodium sulfite to remove trace bromine. A similar approach has been described in Tom‘s latest video of the cubane series and also in Tsanaktsidis 1997 publication [3][4].
Note 7: It appears that the brown color starts to appear once all the hydrogen bromide has been neutralized. Up until this point there is a significant exotherm noticeable causing the mixture to boil, unlike believed by many it does not seem to be of relevance to cool during this step though.
Note 8: I will attempt to isolate some further material from the mother liquors eventually.


Pictures:

20250608_163726.jpeg - 748kB
Fig.1 Synthesis of the bromine used in the preparation

20250616_144621.jpeg - 1022kB
Fig.2 The apparatus used for the bromination


20250616_174210.jpeg - 864kB 20250616_174431.jpeg - 769kB
Fig.3-4 The bromination mixture and crystals of bromine-dioxane growing on the sides of the flask

20250617_150142.jpeg - 531kB
Fig.5 The apparatus used for the Diels-Alder reaction

20250617_151218.jpeg - 258kB 20250617_154915.jpeg - 264kB
20250617_155021.jpeg - 248kB 20250617_155921.jpeg - 350kB
Fig.6-9 The reaction mixture during the addition of sodium hydroxide

20250619_093235.jpeg - 330kB
Fig.10 The final bisketal


Sources:

[1] Collin, D. E. et al. (2021). Decagram Synthesis of Dimethyl 1,4-Cubanedicarboxylate Using Continuous-Flow Photochemistry. Synth., 53/7, 1307-1314
[2] Fluorochem Inc. (1989). CUBANE DERIVATIVES FOR PROPELLANT APPLICATIONS. AD-A210 368
[3] https://youtu.be/BA9dS5_8vkg?si=2CeIWHaoqZI5_fde ; last accessed: 19.06.2025
[4] Tsanaktsidis, J. Bliese, M. (1997). Dimethyl Cubane-1,4-dicarboxylate: A Practical Laboratory Scale Synthesis. Aust. J. Chem., 50/3, 189 - 192


Improved synthesis of endo-2,4-Dibromodicyclopentadiene-1,8-dione (“Bisketone“)

Niklas - 21-6-2025 at 12:54

A 500 ml round bottom flask, equipped with an egg-shaped stirbar, was charged with 205 ml of concentrated sulfuric acid (3,84 mol). With strong stirring all the previous bisketal intermediate (66,04 g, 162,6 mmol) was added through a powder addition funnel in portions, the funnel quickly washed down with a couple milliliters of sulfuric acid, and the flask sealed with a ground-glass stopper. After stirring the dark brown solution at room temperature (20-25 °C) for 31 h things were carefully poured into 1 l of ice water, and the solid collected by vacuum filtration through a Büchner funnel after standing in the fridge for two hours (Note 1). The solid was throughly washed with dest. water until the washes were no longer acidic, a majority of the water pulled off on the pump, and the solid finally dried under vacuum (~20 mbar) over silicagel. From this 48,32 g (93,4%) fine light brown powder were collected as a crude product.
For purification this solid was dissolved into 220 ml (Note 2) of boiling ethyl acetate, 4,8 g of activated charcoal granules were added (Note 3), and the solution filtered through two layers of filter paper in a Büchner funnel while hot after refluxing for 30 min. After cooling in the freezer the first fraction of product was collected in a sintered glass funnel and washed down with a minimal amount of additional ethyl acetate to remove traces of the green mother liquor, from which 35,65 g of a somewhat grayish crystalline solid were collected. The mother liquors were concentrated by rotary evaporation till the precipitation of further material, which was again collected by vacuum filtration after cooling and the freezer and washed down with a small quantity of ethyl acetate, resulting in 6,14 g of a slightly off-white, partly crystalline powder. Further evaporation of the dark green mother liquors yielded a sticky green oil, which could be crystallized by scraping in a mixture of 5 ml ethylacetate and 10 ml heptane, again being collected by vacuum filtration after cooling and washed with small amounts of ethylaceate to remove traces of a green discoloration, resulting in 4 g of an again slightly off-white powder. In total 42,79 g of product were collected this way, corresponding to a percent yield of 82,5% (84% lit.) (Note 4).

Note 1: The next day a small amount of further material separated from the mother liquors. While too small of an amount to brother isolating, in hindsight I would advise to just leave it in the fridge over night.
Note 2: Only around 200 ml are actually required to dissolve the solids, but as the mother liquors will be concentrated anyway it is better to use a slight excess to minimize things crystallizing and clogging the frit.
Note 3: Less has successfully been used in the last run but the desired product appears to have such a low affinity to the charcoal that more doesn’t hurt and ensures all of the brown impurity to get removed. If there wouldn’t have been a green impurity this time, which I believe to be external and stem from the glassware, one may potentially have been able to just fully evaporate the solvent of the filtrate without bothering to take fractions, minimizing mechanical losses.
Note 4: To remove the slightly grayish color that remained due to activated charcoal particles I decided to filter a hot solution of the product in acetone through a thin layer of zeolite, doing the mistake of using a sintered glass funnel for that purpose though, leading to crystallization inside the frit stopping the flow. While I did my best to try to recover all material from this, in the end I only ended up with 33,08 g of an off-white to slightly yellowish solid, what is rather frustrating considering the material would likely have been fine to use as is.

Now that the previously unsatisfactory sequence has mostly been optimized it’s worth looking at the total yield of things. Taking the 87,5% for the ketal synthesis, 83,4% for the bromination Diels-Alder sequence, 82,5% for this deprotection and finally 51,2% for the remaining synthesis (while I reported a 61% yield here before I did not manage to reproduce this value again while yields around 50% seem rather realistic and consistent, also corresponding to the literature yield of 53%), the total adds up to a very much respectable 30,8% from cyclopentanone to dimethyl cubane-1,4-dicarboxylate :D


Pictures:

20250619_095414.jpeg - 796kB
Fig.1 The reaction mixture

20250621_094227.jpeg - 471kB
Fig.2 The crude product

20250621_200900.jpeg - 670kB20250621_134459.jpeg - 726kB
Fig.3 The final bisketone, left after the considerably unnecessary extra purification described under Note 4


Sources:

[1] Collin, D. E. et al. (2021). Decagram Synthesis of Dimethyl 1,4-Cubanedicarboxylate Using Continuous-Flow Photochemistry. Synth., 53/7, 1307-1314


Niklas - 9-8-2025 at 03:55

Greetings,
Just as a short update, because I hadn’t posted anything on the project for a while: I‘ve finally constructed a setup for scaling up the UV reaction and today set up a run with around 35 g of bisketone, so in around a week I will hopefully have a decent amount of diester to finally start doing some proper chemistry with :D

20250809_125436.jpeg - 492kB

Niklas - 23-8-2025 at 03:51

Reaction took a LOT longer than expected, about 300 h until it was complete according to TLC. Definitely gotta change up the setup in the future.. xd

BromicAcid - 23-8-2025 at 08:24

I am just starting to get into preparative UV chemistry. I had a 450 W UV lamp for my reaction, vendor certification said 65% of the energy emitted as UV light, looked at the spectral emissions for a low pressure mercury lamp. Determined the relative % of each wavelength. Converted to photos. Determined the amount of time to emit 1 mol of photos. Back of the envelope calculation carried out to see how long the reaction should take at 100% efficiency. Ended up taking 20 x longer :P

In short - good luck.

Metacelsus - 24-8-2025 at 06:14

Niklas, this project is really impressive, nice work!

I think the Darzens condensation and Kolbe nitrile synthesis are promising methods for the isopropylamine and ethylamine derivatives, respectively.

Niklas - 24-8-2025 at 07:14

Thank you!

Some notes I forgot to make, while it felt like the most obvious and safest route originally, after having read through a bunch of cubane related literature I unfortunately believe the Kolbe route may not be too promising after all, as the cubylchloromethane would likely be very prone to rearrange to a homocubane to release ring strain. This reaction has been demonstrated by Eaton and Yip by simply stirring a solution of cubylbromomethane in pentane with silica (https://pubs.acs.org/doi/10.1021/ja00020a035).

IMG_0377.jpeg - 136kB

I‘m sure it could be done with a good amount of experimentation, but yields would likely be far from amazing, overall making this approach rather unpreferable.

Besides the Darzens route I have quite a bit of fate in the idea of making things via the nitroketone though, so at least for the ethylamines that’s what I‘ll likely go for first, with the slight modifications compared to the graph of making the Weinreb amide to ensure good yields on the Claisen and perform the reduction by first making the tosylhydrazone, then adding borohydride to make the alkane (Caglioti-Wolff-Kishner), and finally adding copper chloride to allow the borohydride to reduce the nitro group to the amine.

IMG_0378.jpeg - 78kB

[Edited on 24-8-2025 by Niklas]

Niklas - 25-8-2025 at 03:16

One thought I somehow didn’t consider before that is still based on classic Henry chemistry while avoiding an unstable nitroalkene (which in addition to its instability would likely be fairly low yielding to reduce, as an aromatic ring helps suppress polymerization by a Michael reaction from the intermediary “nitro-enolate“ on remaining nitroalkene) would be to stay at the addition stage (fairly easy to do in this case as you don’t have the aromatic conjugation further favoring an elimination), make the tosylate (or convert to some other leaving group like the chloride), and then reduce.

IMG_0387.jpeg - 68kB

Again this feels fairly likely to work, but from what I can tell, feel free to correct me if you know of better literature, the reduction of a tosylate or especially alkyl halides to the alkane usually isn’t super high yielding when not using something like Selectride, which however can’t reduce the nitro group therefore requiring another step and isn’t something I can get hold of unfortunately.

So I suppose it could be an option, but as aldehydes aren’t as convenient of a precursor in this case anyway (as unlike for aromatics you can’t just formylate cubane) it’s again not incredibly appealing.

Niklas - 1-9-2025 at 21:33

I should have my notes for the large scale run out in a couple of days, I‘ve already isolated 7 g of product and currently working on collecting the remaining material.

But on the topic of smaller scale runs, which I would guess some of you would be more interested in as if you are planning to reproduce this synthesis you may just want to make cubane as a product rather than using it in another synthesis.
I used a 50 ml mantled reaction vessel in my previous runs (both those documented here and my other tests) simply because it happened to be something I have on hand. This however only allows to make maybe 0,5 g of diester product at best, and isn’t a piece of glassware I would expect much of anyone to have around. So, what I successfully did for slightly larger scale runs (volume of about 120 ml) was to use a Dimroth condenser, and even though it seems cursed, it works pretty well.

20250527_195034.jpeg - 567kB

[Edited on 2-9-2025 by Niklas]

Larger scale synthesis of dimethyl cubane-1,4-dicarboxylate

Niklas - 15-9-2025 at 23:29

Unfortunately this run was quite a bit less successful yield wise than I was hoping, and also took an enormous amount of time (300 h), all due to my pretty bad and overall quite improvised reactor design. It still produced sufficient material for some first synthesis why I won’t work on improving this process in the near future, but eventually I‘m definitely going to revisit the scaleup of this step.

To keep the actual writeup more tidy I‘ll quickly explain the reactor design here, a 2 l reactor with a NS45 central joint was equipped with a custom made central tube 4 cm in internal diameter sealed on the bottom end and jammed against the reactor top with a rubber ring in between to seal (it‘d obviously be ideal to use a tube with a top male joint to ensure a proper seal and overall make things more stable, but unfortunately this is impossible with a NS45 joint and the lamp used, as the glass would have to be less than a millimeter thin). A Philips UV-B PL-L 36W/01/4p was placed in the center, one neck equipped with an electric thermocouple (inside a custom made glass tube 4 mm in internal diameter to protect it from corrosion), one neck equipped with a gas adapter leading to the argon line, and the remaining necks sealed with stoppers. To allow for stirring a 2,5 cm cylindrical stirbar was added and placed off centered between the central glass tube and reactor wall.
To cool this was placed in a large bucket, lined on the inside with aluminum foil, with two streams of water (from a cheap 15€ aquarium pump) running over the reaction vessel from opposite sides and a hole being cut into the bottom to allow for the water to recirculate. To keep the water at a constant temperature a cooling coil connected to my thermostat pump cooled to 5 °C was added to the reservoir.

Attachment: 20250809_124027.mov (3.1MB)
This file has been downloaded 102 times
Fig.1: Video showing the setup and cooling system

Cubane-1,4-dicarboxylic acid (crude) [1]:

In a 2 l wide-neck Erlenmeyer flask 34,65 g of bisketone (109 mmol) were dissolved in a mixture of 900 ml methanol, 160 water, and 1,5 ml of concentrated sulfuric acid (28,1 mmol) (Note 1) and the resulting light yellow solution sparged with argon for 30 min. It was transferred to the photoreactor (see above), the vessel flushed out with argon, and things irradiated until full conversion could be observed on analysis with TLC (3:1 heptane / ethylacetate using Seebach‘s stain; bisketone rf=0,36, cage intermediate rf=0,09) (Note 2) while keeping the temperature at 10-15 °C (Note 3). The resulting light yellow solution (during the reaction it temporarily turned a dark yellow, then lightening up again to an almost colorless and eventually darkening to a color similar to that of the starting solution) was transferred to a 2 l round bottom flask, the methanol removed by rotary evaporation, the resulting mixture (150 ml) transferred to a 1 l round bottom flask (NS29) containing a 2,5 cm cylindrical stirbar, and diluted with 150 ml more water (also used to rinse out the 2 l flask). A Dimroth-condenser (15 °C) was attached and things heated to a reflux in a heating mantle for 2 h causing the solution to darken to a brownish orange, and finally, after cooling somewhat (Note 4), a solution of 81 g sodium hydroxide (2,03 mol) in 300 ml of water was added and refluxing continued for 17 h. After cooling the resulting brown-black mixture was acidified with 200 ml of fuming hydrochloric acid (Note 5), the precipitated solid collected by vacuum filtration on a 10 cm Büchner funnel (Note 6), and washed down with a little more water. After drying under vacuum over phosphorus pentoxide 13,19 g (62,8% yield; 68% lit.) (Note 7) of a brownish grey powder containing multiple pieces of solid black tar were collected and used as such in the next step.

Note 1: The dissolution is pretty slow and may take half an hour or more.
Note 2: A sample was taken every 50 h, in the end taking 300 h in total. Bartonek reports the reaction time to be no more than 75 h, usually about 50 h, at a similar scale using the same UV source, therefore making it clear that my reactor design is quite awful (only the bottom third of the lamp is actually sticking into the liquid and the top third isn’t inside the reactor at all so it kind of really isn’t too surprising).
Note 3: There should be no issue with keeping things at room temperature, but as the improvised reactor design meant it wasn‘t particularly well sealed I was hoping to prevent solvent evaporation this way. Still small amounts of additional methanol had to be added over the course if the reaction to keep the volume constant.
Note 4: For the small runs I could safely add the sodium hydroxide solution to the still refluxing reaction mixture, in this case an attempt of this almost caused things to boil over though.
Note 5: I believe this is where significant product loss occurred, as during the small scale experiments I noticed that acidifying while hot resulted in worse yields pretty consistently, likely because the diacid is actually reasonably water soluble, but when rapidly separating as an amorphous material when cold it isn’t really able to redissolve to a large extent. When hot it however slowly crystallizes, allowing for it to actually leave behind a saturated solution. While I did let it cool in this case, I did not consider the significantly stronger exotherm on large scale, causing the mixture to strongly heat up and resulting in the same negative outcome.
Note 6: The filtration weirdly is awfully slow, I would deem it the worst material I have ever filtered (much worse than the typical bad examples like iron hydroxide) except for the stuff that just completely blocks the flow.
Note 7: While this yield may not seem too bad, based on the yield of the next step I‘m pretty confident it’s just inflated from having trapped salts inside the crystals. This is likely also the reason why the product is so light in color, funnily the worse the product looks the better the total yield usually is.

20250823_121645.jpeg - 799kB
Fig.2: The solution resulting from the cycloaddition

20250823_164215.jpeg - 321kB
Fig.3: The mixture after reflux with aqueous sulfuric acid.

20250823_192933.jpeg - 575kB
Fig.4: Apparatus used for the Faworskii reaction

20250827_072459.jpeg - 866kB
Fig.5: The crude diacid

Dimethyl cubane-1,4-dicarboxylate [2]:
In a 250 ml round bottom flask (NS29) containing a 2,5 cm cylindrical stirbar all of the above material was taken up in 120 ml of methanol. 1,6 g of strongly acidic cation exchange resin (Note 1) were added, a mantled Dimroth-condenser attached (r.t), the apparatus flushed out with argon, and things heated to a reflux in a heating block for 12 h. Initially the mixture turned a black color, later lightening up into a dark brown though, and after cooling this solution was decanted from the crystallized solids and exchange resin. The residual material was dissolved in DCM, filtered through some glasswool to remove the catalyst, and the solvent of the pooled mixture removed by rotary evaporation. From this a black solid resulted, which was extracted in a 250 ml Soxhlet extractor for 48 h (Note 2) using 400 ml of heptane. The solvent was again removed by rotary evaporation, leaving behind 8,7 g (36,2% yield starting from bisketone, 53,7% lit.) of a light yellow solid (Note 3), which was further purified by recrystallization from MEK, resulting in 7,03 g (29,3% yield) (Note 4) of white crystals melting at 164-165 °C (161-165 °C lit.).

Note 1: Most literature is using fuming hydrochloric acid as the catalyst which is obviously cheaper and more accessible, it is however definitely of benefit to minimize the amount of water present though.
Note 2: Completion of the extraction was checked by taking a couple drops of solvent from the extractor and evaporating them on a watchglass. While this didn’t leave behind any notable residue it appears that the extraction was just very slow at that point, and a few milligrams of additional material could be isolated by continuing the extraction for 24 h, though the quantity really isn’t worth the time.
Note 3: This material is of sufficient purity for most applications, as the purification can proceed with very few losses it is worth to take this additional time though. Instead of MEK acetone works equally, I just happened to be out of it.
Note 4: More material of identical purity, from my experience with smaller scale runs at least 1 g and potentially up to 1,5 g, could have been isolated from the mother liquors, I accidentally overheated things on the hotplate though leading to its decomposition.

20250827_074627.jpeg - 833kB
Fig.6: Apparatus used for the esterification

20250827_202015.jpeg - 356kB
Fig.7: The reaction mixture

20250827_204610.jpeg - 670kB
Fig.8: Purification by Soxhlet extraction

20250829_220913.jpeg - 254kB
Fig.9: The final product

Sources:

[1] Bartonek, A. et al. (2023). Sensitive 1,4-Disubstituted Nitro-Containing Cubanes: Structures and Properties. J. Org. Chem., 88/18, 12884–12890
[2] Yan, B. et al. (2024). Synthesis of Bishomocubanone Derivatives via Visible-Light-Induced Intramolecular [2+2] Cycloaddition Reaction. Adv. Synth. Catal., 367/7

Niklas - 15-9-2025 at 23:49

Quote: Originally posted by Niklas  

Again this feels fairly likely to work, but from what I can tell, feel free to correct me if you know of better literature, the reduction of a tosylate or especially alkyl halides to the alkane usually isn’t super high yielding when not using something like Selectride, which however can’t reduce the nitro group therefore requiring another step and isn’t something I can get hold of unfortunately.


Oh an important note on this, apparently Red-Al works decently well for for the reduction of alkyl tosylates, and I do have 450 ml of a 70% solution around.
It is kind of less than ideal that one would again proceed via an intermediate with a leaving group alpha to the cubane, again being a fairly likely candidate to rearrange under many conditions, but I have a procedure in mind that shouldn’t carry this risk. To be precise I would first deprotonate maybe 1,1 eq of nitroethane with LiH, add the resulting solution to a solution if the cubane carbaldehyde in THF cooled in an icebath, quench with 1,2 eq of TsCl, and directly add the resulting crude mixture to a solution of Red-Al (not sure about the equivalents yet).
While for the unsubstituted amphetamine biostere I will probably proceed via the propylene oxide route as I need cubyl iodide for another synthesis anyway, for the 4-chloro this isn’t really an option as the chloro will interfere with the Grignard reaction, therefore making the above mentioned synthesis appealing for it.

Niklas - 10-10-2025 at 12:36

By extraction of the mother liquors of the diacid synthesis with DCM, evaporation, refluxing the brown residue with an excess of methanol with some strongly acidic cation exchange resin present, evaporating again, and extracting the dark brown sticky residue twice using ~150 ml if boiling heptane each (the consistency made it impossible to transfer to a Soxhlet) followed by evaporation of the yellow solution a dark yellow crystalline solid remained, which on recrystallization from MEK made 1,5 g (6,2% yield, 42,4% in total) of white crystals melting at 159-165 °C (161-165 °C).
While this sample is clearly less pure than the previous material, it should still be of sufficient purity for most applications.

As this scaleup overall still can’t be called particularly successful though I‘m currently working on exploring the use of xanthone as a 390 nm sensitizer, as with these lights there is a lot less of a limit if power you can put in as opposed to the fairly weak 36W UV-B lamp I was using previously.

Niklas - 3-11-2025 at 03:48

As indicated above, one seemingly promising approach for the scalation of the [2+2]-cycloaddition is a photosensitized approach documented by B. Yan et al. (https://advanced.onlinelibrary.wiley.com/doi/abs/10.1002/ads...).
Unlike the well known photosensitized approach employing benzophenone, which has been successfully used by Chemiolis and Explosions&fire in the prepration of dimethyl cubane-1,4-dicarboxylate, is however fairly low yielding (10-20% total yield as opposed to the 30-35% achivable using unsensitized techniques as I‘ve documented), this one is employing xanthone, and with that claiming a close to quantitative yield on the cycloaddition (as it‘s the case for the unsensitized approach too, the large losses actually stem from the Faworskii which unfortunately doesn‘t has much room for improvements). In addition to the yield aspect their claims of dilution (250 g bisketone in about 4 l of volume) and reaction time (250 g in 12 h) are also extremely impressive, seemingly making it the perfect approach for this reaction, you might even say it‘s too good to be true.

Well, I tried, and their claims (unfortunately) appear to be complete bs. I performed a run with about 3,7 g of bisketone (so less than 1/50 of the documented scale) using the same solvent and catalyst ratios as stated, and irradiated using two 50 W 385-395 nm light for 48 h and four 50 W light for 48 h more hours (cooling performed using a fan), and after this period there appears to be barely any conversion on analysis with TLC (3:1 hexane / ethylacetate; Seebach‘s stain). And on evaporating under vacuum, partitioning the residue between water (to dissolve the cage product) and petroleum ether (to dissolve the xanthone) and filtering most bisketone could be recovered.
A similar run was also performed by Brotato with similar results, and he should soon get a GCMS analysis of the reaction mixture to get a proper idea of the conversion.

Admittely in the paper it isn‘t stated how many lights were used, however based on the picture of their reactor one can guess ten 40 W lights (40 W lights used for the small scale runs and ten switches visible on their reactor). The lights used are some fancy “390 nm narrowband“ LEDs, but I seriously can‘t believe this would make that big of a difference, so I personally have to conclude that the claims in the paper are not reproducible. Even if it would work this well with those exact LEDs, at that point they‘d be even more financially limiting than the Narrowband UV-B I‘ve been using for unsensitized irradiation, so this seems to be going nowhere.

[Edited on 3-11-2025 by Niklas]

Niklas - 4-11-2025 at 00:55

Brotato checked things on a 37 g scale and after three days with irradiation using two 200 W lamps on analysis with GCMS only a conversion of 15% could be achieved. Assuming a linear conversion this would mean 21 days for 37 g, even worse than the already horrendous time I had using the unsensitized approach (mostly because of the reactor design though, with a better setup 40 g / 50 h should be achievable).

And because the reaction will likely further slow down with time, as is evident by some bisketone initially staying undissolved but dissolving rather quickly, the reaction not progressing much after that though, 21 days is a very optimistic (and honestly unrealistic) guess.

Another thing indicating this papers claim being more than questionable is the mixture already having turned an orange color even after this amount of conversion, indicating side reactions similar to those when using benzophenone, so a 99% yield seems pretty unrealistic.

Screenshot_2025-11-03_at_4.30.56_pm.png - 348kB

The large peaks are the bisketone, the peak around 12.9 is the xanthone, and the peak around 11.5 is the product.

Niklas - 14-11-2025 at 10:20

Here finally the 1H and 13C NMR of the recrystallized dimethylester from the larger scale run, looks great.

image.png - 91kB image.png - 208kB

Synthesis of 4-Chlorocubane carboxylic acid

Niklas - 19-11-2025 at 12:27

This synthesis is a first step towards the cubane biostere of 4-chloroamphetamine, and I‘ve already managed to process some down to the corresponding aldehyde (will document that sometime in the near future, once I get around to scaling the procedure). It is achieved in four steps, with the key step being a Barton decarboxylation using carbon tetrachloride as a „cubyl radical scavenger“ to achieve the chloro substitution [1].

IMG_1330.jpeg - 83kB
Fig.1: The synthesis of 4-chlorocubane carboxylic acid


Cubane-1,4-dicarboxylic acid monomethylester: In a 250 ml round bottom flask (NS29) containing a 3,5 cm cylindrical stirbar 1,42 g of dimethyl cubane-1,4-dicarboxylate (6,45 mmol) were dissolved in 60 ml of THF. A solution of 285 mg sodium hydroxide (7,1 mmol) in 3,3 ml of methanol was dropwise added, the vial rinsed with a little more methanol, and the resulting white suspension stirred for 16 h at room temperature (20-25 °C) under argon while being protected from light. The solvent of the visually unchanged mixture was removed by rotary evaporation (Note 1), the white amorphous residue dissolved in about 40 ml of water, and the resulting yellowish solution washed three times using 10 ml DCM each. Things were acidified by addition of 2 ml of fuming hydrochloric acid, extracted three times using 20 ml DCM each (Note 2), and the pooled extracts washed with 30 ml of water and dried over anhydrous sodium sulfate. After removal of the solvent by rotary evaporation 1,31 g (98,5% yield; 95% lit.) of a white, in parts slightly yellowish, shiny solid remained, which was used as such without further purification (Note 3).

Note 1: It‘s important for the water bath temperature to stay reasonably low (50 °C or lower), as using a 65 °C water bath resulted in a pinkish discoloration of the residue, likely due to thermal decomposition.
Note 2: Initially not all of the carboxylic acid dissolves in the organic phase (as it’s solubility in DCM isn’t awfully high), the total quantity of 60 ml should however be sufficient on this scale.
Note 3: Only for the run mentioned in Note 1 the product was further purified by trituration with heptane due to its fairly significant yellow discoloration, resulting in the monoester as white shiny flakes in a 86,1% yield.

20251012_144444.jpeg - 858kB
Fig.2: The collected monomethylester


Methyl 4-chlorocubanecarboxylate (crude): In a 250 ml two-neck round bottom flask (1x NS29, 1x NS14) containing a 2,5 cm cylindrical stirbar and equipped with a gasadapter 1,16 g of the monoester (5,6 mmol) were suspended in 60 ml of DCM (dried over 3Å molecular sieves). With a flow of argon running 0,6 ml of oxalyl chloride (7,1 mmol) were added, the flaks capped with a septum, and about 0,05 ml of DMF added using a syringe, immediately resulting in a gas generation and the slow dissolution of the solid. Things were stirred at room temperature (15-20 °C) over night, at which point all solids had dissolved, the solvent removed by distillation from a 55 °C water bath, and the residue of crude acid chloride further dried under vacuum (Note 1).
The resulting beige-yellow solid was dissolved in 15 ml of tetrachloromethane (dried over 3Å molecular sieves) with the aid of a heatgun. Meanwhile in a 100 ml there-neck round bottom flask (3x NS14) containing a 2,5 cm cylindrical stirbar 1,27 g of 2-mercaptopyridine-N-oxide sodium salt (8,5 mmol) and 10 mg of 4-(N,N-Dimethylamino)pyridine (0,08 mmol) were suspended in 10 ml of tetrachloromethane (dried over 3Å molecular sieves), the flask equipped with a gasadapter, a Dimroth-condenser and a 100 ml addition funnel, and the apparatus flushed with argon. The addition funnel was charged with the above prepared solution of the acid chloride (things were rinsed with 5 more ml of carbon tetrachloride), the suspension brought to a reflux in a sandbath, and the solution dropwise added over their course of 40 min while irradiating with a 500 W lamp, during which time a color change from white to yellow to greenish to grey could be perceived. Reflux and irradiation were continued for 4 h, the solvent removed by distillation from a boiling water bath, traces removed under vacuum, and the dark brown oily residue, which crystallized on standing, partitioned between 25 ml of DCM and 25 ml of 12,5% hydrochloric acid. The organic phase was separated, things extracted twice more using 10 ml of DCM each, and the pooled dark brown extracts washed with 15 ml water, 15 ml of saturated sodium bicarbonate solution, and finally dried of anhydrous sodium sulfate. The solvent was removed by rotary evaporation, and the resulting dark brown crystalline residue (Note 1) subjected to kugelrohrdistillation (1-2 mbar, 130 °C), resulting in 1,17 g (106% yield) (Note 2) of a colorless to slightly yellow crystalline mass, which was used without further purification.

Note 1: Instead of distilling the crude methyl ester one can also process if crude, if instead the final carboxylic acid is further purified by recrystallization from toluene and soxhlet extraction with heptane. As, at least on a small scale, this generally leads to higher losses (a yield of 39,9% was achieved), the documented procedure is generally superior, however on larger scales one might want to avoid distillation due to a certain explosion risk these cubane derivatives carry [2].
Note 2: It’s unclear which impurity is causing the apparent increase in yield (I suspect it’s 2-trichloromethylthiopyridine, as I will explain in my notes on iodocubane soon), it’s however removed in the following step without much difficulty.

IMG_1331.jpeg - 133kB
Fig.3: Synthesis of the acid chloride

20251016_123716.jpeg - 786kB
Fig.4: Synthesis of the methyl ester

20251017_123133.jpeg - 359kB
Fig.5: The collected “crude“ methyl ester


4-Chlorocubane carboxylic acid: In a 50 ml round bottom flaks (NS29) containing a boiling stone all of the crude methyl ester was taken up in a solution of 1 g sodium hydroxide (25 mmol) in about 30 ml of water. A Dimroth-condenser was attached, and things heated to a reflux in a sandbath for 4,5 h, causing the mixture to take on a greenish brown color and some brown solid to separate (Note 1). 10 ml of DCM were added, undissolved material removed by filtration through some glass wool, the aqueous phase separated, and washed twice more using 10 ml DCM each. Traces of DCM were removed under vacuum, the resulting yellow solution acidified using fuming hydrochloric acid, the solid collected by gravity filtration, washed throughly with water, and finally dried under vacuum over anhydrous calcium chloride. From this 627 mg (61,3% yield; 55,6% lit. (over three steps)) of a cream colored powder were collected, appearing pure on analysis with 1H- and 13C-NMR.

Note 1: The tar formation likely stems from a base catalyzed decomposition of the not characterized impurity.
Note 2: Even though things appeared pure on the NMR spectra a slight less polar contamination could be detected on analysis with TLC (3:1 n-Heptane / ethylacetate, Seebach‘s stain; product rf=0,16, impurity rf=0,42). This is however totally irrelevant for much of any synthetic use of this substance.

IMG_1013.jpeg - 4.1MB
Fig.6: The collected carboxylic acid

image.png - 73kB
Fig.7: 1H-NMR of the carboxylic acid in DMSO-d6 (DMSO and water cut out)

image.png - 111kB
Fig.8: 13C-NMR of the carboxylic acid in DMSO-d6 (DMSO cut out)


Sources:

[1] Benjamin, A. et al. (2016). Validating Eaton‘s hypothesis: Cubane as a Benzene Bioisostere. Angew. Chem., Int. Ed., 55/11, 3580-3585
[2] Fluorochem Inc. (1989). Cubane Derivatives for Propellant Applications. AD-A210 368

Niklas - 19-11-2025 at 22:19

I‘m only now noticing that the picture of the acid chloride synthesis is technically from another test run of this synthesis (why it’s a three neck rather than two neck flaks like mentioned), but in the end it doesn’t make any difference.

Synthesis of unsubstituted cubane

Niklas - 2-12-2025 at 13:22

The synthesis of unsubstituted cubane is achieved in three steps starting from the dimethylester, by first hydrolizing the esters with sodium hydroxide, making the diacylchloride by reaction with thionylchloride, and finally decarboxylating by a modified Barton decarboxylation utilizing chloroform as a hydride source [1]. I‘ve already described the ester hydrolysis in my synthesis of cubane PET (and also the diacylchloride synthesis however using oxalylchloride and DMF), the run described here was significantly higher yielding though, likely due to the use of a smaller quantity of water.

IMG_1437.jpeg - 90kB
Fig.1: Synthesis of unsubstituted cubane

Cubane-1,4-dicarboxylic acid:
In a 50 ml wide-neck Erlenmeyer flask containing a 5 mm cylindrical stirbar 553 mg of dimethyl cubane-1,4-dicarboxylate (2,5 mmol) were suspended in a solution of 0,4 g of sodium hydroxide (10 mmol) in 15 ml of water and brought to a reflux on the hotplate for two hours. After cooling things were acidified using fuming hydrochloric acid, left to stand in the fridge for some time, and the precipitate collected by gravity filtration and rinsed with further water. After drying under vacuum over phosphorus(V)-oxide 456 mg (94,9% yield) of a white shiny powder were collected.

Cubane:
In a 50 ml round bottom flask (NS29) containing a 5 mm cylindrical stirbar 585 mg of cubane-1,4-dicarboxylic acid (3,0r mmol) (Note 1) were suspended in 3 ml of thionyl chloride (41,4 mmol) (freshly redistilled over 1/5 its weight of quinoline). The flask was flushed out with argon, and things heated to a reflux in a sand bath with an Allihin condenser attached for five hours, causing things to take on a yellow color. Excess thionylchloride was removed under vacuum (Note 2), and the resulting partly colorless partly brownish crystalline residue of diacylchloride dissolved in 35 ml of dry chloroform (Note 3).
Meanwhile in a 100 ml three-neck round bottom flask (1x NS29, 2x NS14) containing a 2,5 cm cylindrical stirbar 1,81 g of 2-Mercaptopyridine-N-oxide sodium salt (12,1 mmol) and 38 mg if DMAP (0,31 mmol) were taken up in 35 ml of dry chloroform (Note 3), the flask equipped with a gas adapter, an Allihin condenser and a 50 ml addition funnel, flushed with argon, and the addition funnel charged with the above prepared acid chloride solution. Things were brought to a reflux in a sand bath, the yellow solution added over the course of 1 h while irradiating with a 500 W lamp, and reflux and irradiation of the resulting yellowish brown mixture continued for 4 h afterwards. The solvent was removed by rotary evaporation, the brown sticky residue partitioned between 50 ml of n-pentane and 50 ml of 12,5% hydrochloric acid, the organic phase separated, washed twice more using 30 ml of water each, and the yellowish solution dried over anhydrous sodium sulfate. The solvent was again removed by rotary evaporation and the partly dark yellow oily partly white crystalline residue purified by column chromatography using 20 g of 60Å silicagel in a column 1,5 cm in diameter with n-pentane as the eluent (Note 4). After removal of the solvent by rotary evaporation 223 mg (70,4% yield; 58% lit.) of white slightly waxy needles were collected, appearing reasonably pure on analysis with 1H- and 13C-NMR.
Note 1: The sample used consists of the material prepared above and an older cream colored diacid sample (223-224 °C decomp.; 224 °C lit.), prepared by the hydrolysis of the unrecrystallized diester (see cubane PET synthesis).
Note 2: Due to the aggressive nature of the vapor it is advisable to use an aspirator pump for this purpose. A good membrane pump is also suited.
Note 3: As the ethanol commonly added as a stabilizer would react with the acid chloride, the chloroform was washed three times using water, once using saturated brine, and dried over 3Å molecular sieves beforehand.
Note 4: As cubane, being an alkane, is significantly less polar than any potential impurities, only one large fraction was collected until evaporation of a couple drops running of the column didn’t leave behind any further solid.

IMG_1438.jpeg - 353kB IMG_1439.jpeg - 179kB
Fig.2-3: The diacylchloride synthesis and the collected material

IMG_1440.jpeg - 298kB
Fig.4: The Barton decarboxylation

IMG_1441.jpeg - 209kB IMG_1442.jpeg - 190kB
Fig.5-6: The collected endproduct (4x magnification)

image.png - 121kB
Fig.7: 1H-NMR of the cubane in chloroform-D (chloroform-D and water cut out), the peaks in the range of 0-1,5 ppm are from joint grease

image.png - 99kB
Fig.8: 13C-NMR of the cubane in chloroform-D (chloroform-D cut out)


Sources:

[1] Houston, S. D. et al. (2019). Enantioselective synthesis of (R)-2-cubylglycine including unprecedented rhodium mediated C-H insertion of cubane. Org. Biomol. Chem., 2019 (17), 1067-1070

Synthesis of Iodocubane

Niklas - 6-12-2025 at 05:21

Iodocubane is an extremely useful precursor in the preparation of mono substituted cubane derivatives as it can be used to undergo Barbier type reactions by converting to the corresponding butyl zincate reagent [1]. In particular I‘ll soon be using it in the preparation of the cubane biosteres of amphetamine and deschloroketamine (just have to wait for the butyllithium to arrive).
It is made in four steps from the monomethylester of cubane-1,4-dicarboxylic acid, the synthesis of which I‘ve detailed in my post regarding 4-chlorocubane carboxylic acid, by once again first converting it to the corresponding acyl chloride, decarboxylating using a Barton decarboxylation, hydrolizing the methyl ester [2], and then finally performing a Kochi decarboxylation of the intermediary cubanemonocarboxylic acid [3], which itself is an equally useful precursor for the preparation of cubane derivatives.

IMG_1474.jpeg - 116kB
Fig.1: Synthesis of iodocubane

Methyl cubanemonocarboxlyate:
In a 500 two-neck schlenk flask (1x NS29, 1x NS14) containing an 5 cm triangular stirbar 3 g of the monoester (14,5 mmol) were suspended in 160 ml of DCM (dried of 3Å molecular sieves). Under a blanket of argon 1,5 ml of oxalylchloride (17,7 mmol) were added, a septum was attached, and about 0,1 ml of DMF (1,3 mmol) were added using a syringe, instantly resulting in a gas generation and the slow dissolution of the solids. Stirring was continued at room temperature (20-25 °C) for 1 h, a majority of DCM removed by distillation from a 50 °C water bath, and the beige residue of crude acyl chloride dried under vacuum.
Meanwhile in a 500 ml three-neck round bottom flask (2x NS29, 1x NS14) containing a 5 cm triangular stirbar, equipped with a Dimroth condenser, a gas adapter and a 250 ml addition funnel, 3,31 g of 2-mercaptopyridine-N-oxide sodium salt (22,2 mmol) and 20 mg of DMAP were suspended in 120 ml of dry chloroform (Note 1)(Note 2), the apparatus flushed with argon, and the addition funnel charged with a solution of the above prepared acid chloride in 140 ml of dry chloroform (Note 1)(Note 2). Things were brought to a reflux in a heating mantle, the yellow solution slowly added over the course of 1 h while irradiating with 500 W lamp, and reflux and irradiation continued for 5 more h. The resulting brownish mixture was washed twice with 12,5% hydrochloric acid (1x 100 ml, 1x 50 ml), once with 50 ml of a saturated sodium carbonate solution, once with 50 ml water and once with 50 ml of saturated brine, dried over anhydrous magnesium sulfate, and the solvent removed by rotary evaporation. The dark brown oily residue was distilled in a kugelrohr (2 mbar, 120-140 °C), resulting in 3,3 g of a (139% yield) (Note 3) of a partly liquid partly crystalline colorless substance which was used as such without further purification.
Note 1: As the ethanol commonly added as a stabilizer would react with the acid chloride, the chloroform was washed three times using water, once using saturated brine, and dried over 3Å molecular sieves beforehand.
Note 2: Following the literature 155 ml of chloroform each should be used, I however ran out and only had 260 ml left.
Note 3: It‘s unclear which impurity is seemingly increasing the yield, it is however mostly removed in the following ester hydrolysis (also see cubanemonocarboxylic acid note 1 and note 3).

20250907_154519.jpeg - 436kB 20250907_184545.jpeg - 474kB
Fig.2-3: Synthesis of the acyl chloride

20250909_151626.jpeg - 698kB 20250910_200559.jpeg - 388kB
Fig.4-5: The Barton decarboxylation and the collected methyl ester

Cubanemonocarboxylic acid:
The material from the previous step is transferred to a 100 ml round bottom flask (NS29) containing a boiling stone and suspended in a solution of 2 g sodium hydroxide (50 mmol) in about 30 ml of water. A Dimroth-condenser was attached and things heated to a reflux for 2 h (Note 1), causing things to take on an orange color and some insoluble tar to separate (Note 2). This mixture was washed three times using 20 ml DCM each, remaining insoluble junk removed by filtration through some glass wool, and the resulting yellow solution acidified using 10 ml of fuming hydrochloric acid. It was extracted three times using 20 ml of DCM each, the resulting yellow extracts dried over anhydrous sodium sulfate, and the solvent removed by rotary evaporation. The residual yellow solid was dissolved in about 60 ml of boiling heptane, things decanted from the small quantity of undissolved junk and evaporated down to a volume of 10 ml. After cooling in the freezer the precipitate was collected by gravity filtration, rinsed with a little heptane and dried under vacuum, resulting in 1,68 g (77,7% yield; 79,2% lit. (over three steps)) of light yellow crystals melting at 122-125 °C (124-125 °C lit.) and appearing of acceptable purity on analysis with 1H- and 13C-NMR (Note 3)(Note 4).
Note 1: A longer reflux time of 4 h or longer might be advisable to result in a purer end product (see note 3 for an explanation).
Note 2: The tar formation likely stems from a base induced decomposition of the uncharacterized impurity, not from the cubane carboxylic acid itself.
Note 3: On both spectra an aromatic impurity is clearly visible, the exact structure, besides an unsymmetrical ortho substitution based on the peak splitting, however remains unclear. As it could be removed in the following step by washing with hydrochloric acid, one can logically assume this to be the 2-(trichloromethylthio)pyridine formed as a side product during the Barton decarboxylation, the hydrochloride salt of which might have some solubility in DCM and chloroform, also explaining the inflated yield of the prior step. As such an impurity wasn’t noted during the 4-chlorocarboxylic acid synthesis, even though the procedure was largely the same, it was likely all decomposed from the 4 h reflux during the ester hydrolysis, while with the shorter reflux of 2 h traces appear to remain.
Note 4: In the literature procedure the intermediary methyl ester is purified by column chromatography, however the resulting carboxylic acid is still described as yellow, though an impurity isn’t specified.

20250911_174333.jpeg - 541kB
Fig.6: Cubane monocarboxylic acid

image.png - 102kB
image.png - 13kB image.png - 14kB
Fig.7-9: 1H-NMR of the monocarboxylic acid in DMSO-d6 (water and DMSO-d6 cut out)

image.png - 111kB
Fig.10: 13C-NMR of the monocarboxylic acid in DMSO-d6 (DMSO-d6 cut out)

Iodocubane:
In a 500 ml three-neck round bottom flaks (2x NS29, 1x NS14) containing a 3,5 cm egg shaped stirbar, equipped with a mantled Dimroth-condenser and a gas adapter, 1,43 g of cubanemonocarboxylic (9,7 mmol) were dissolved in 190 ml of benzene (dried over 3Å molecular sieves) and the resulting yellow solution sparged with argon for 30 min. 5,32 g of lead(IV)-acetate (12 mmol) (Note 1) and 5,79 g of iodine (22,8 mmol) were added, the apparatus flushed with argon, and things refluxed in a heating mantle while irradiating with a 500 W lamp for 3 h. The orangey-yellow precipitate of lead iodide was removed by filtration through a piece of glass wool, the “permanganate-violet“ solution washed three times using 100 ml of a diluted sodium sulfite solution each, dried over anhydrous sodium sulfate, and the solvent of the resulting light yellow solution removed by rotary evaporation. The dark yellow residue was subjected to kugelrohr distillation (10-15 mbar, 140 °C), resulting in 2 g (90% yield) (Note 2) of a light yellow oil, solidifying to colorless needles slightly below room temperature (Note 3). 2,2 g of this material were dissolved in 15 ml of n-pentane, washed two times using 25 ml of diluted hydrochloric acid each and once with 25 ml of water, dried over anhydrous sodium sulfate, and the solvent removed by rotary evaporation. From this 2,1 g (95,4% recov.; 85,9% in total for the run described) of a white to slightly off-white crystalline solid were collected, melting at 30-32 °C (31-33 °C lit.) and appearing of good purity on analysis with 1H- and 13C-NMR.
Note 1: I have previously described the preparation of the lead(IV)-acetate used in a different thread [4].
Note 2: In a smaller testrun on a scale of 1,5 mmol a crude yield of 86,4% was achieved, likely due to increased mechanical losses from the distillation.
Note 3: It’s evident from 1H- and 13C-NMR analysis that this “crude product“ still contains the aromatic impurity of the prior step. In addition to that some undesired peaks are visible in the alkyl region (also for the washed product), mostly from joint grease.

20250927_111711.jpeg - 761kB
20250927_103804.jpeg - 553kB 20250927_111601.jpeg - 630kB
Fig.11-13: The Kochi decarboxylation

20250927_164056.jpeg - 657kB
Fig.14: The distilled iodocubane

image.png - 89kB image.png - 15kB
image.png - 12kB
Fig.15-17: 1H-NMR of the distilled iodocubane in Chloroform-D (water and chloroform-D cut out), the peaks in the range on 0-1,5 ppm are from joint grease

image.png - 105kB
Fig.18: 13C-NMR of the distilled product in Chloroform-D (chloroform D cut out)

20251116_145534.jpeg - 740kB
Fig.19: The washed iodocubane

image.png - 13kB image.png - 106kB
Fig.20-21: 1H-NMR of the washed iodocubane in Chloroform-D (water and chloroform-D cut out), the peaks in the range on 0-1,5 ppm are from joint grease

image.png - 88kB
Fig.22: 13C-NMR of the washed product in Chloroform-D (chloroform D cut out)


Sources:

[1] Kato, Y. et al. (2019). A Protocol for an Iodine–Metal Exchange Reaction on Cubane Using Lithium Organozincates. Org. Lett., 21/2, 473-475
[2] Benjamin, A. et al. (2016). Validating Eaton’s Hypothesis: Cubane as a Benzene Bioisostere. Angew. Chem., Int. Ed., 55/11, 3580-3585
[3] Della, E. W. Head, N. J. (1995). Synthesis and 19F and 13C NMR Studies of a Series of 4-Substituted Fluorocubanes: Resonace Dependence of 19F Chemical Shifts in a Saturated System. J. Org. Chem., 60/16, 5303-5313
[4] https://www.sciencemadness.org/whisper/viewthread.php?tid=16... ; last accessed: 06.12.2025