...LLQuote: Originally posted by a nitrogen rich explosive ![]() |
Quote: Originally posted by a nitrogen rich explosive ![]() |
Quote: Originally posted by a nitrogen rich explosive ![]() |
| Quote: |
| Quote: |
Quote: Originally posted by a nitrogen rich explosive ![]() |


| Quote: |
Quote: Originally posted by DubaiAmateurRocketry ![]() |
Quote: Originally posted by ShotBored ![]() |
Quote: Originally posted by ShotBored ![]() |
Cyanamide was homemade by pyrolysis of calcium cyanurate at 800-1000 deg C. Used a welded 150mm diameter stainless
steel container with 5 cm of 20 mm stainless tubing protruding from one end by which it could be filled and emptied. A conically shaped stainless
steel weight was placed on top of the 20 mm tubing so that when fired, gasses could escape by lifting the weight up, closing it again when no more gas
is produced. Worked nicely and gave abundant amounts of silvercyanamide on testing (can this be used for quantification of purity?). Yield was 90% of
theory from calcium cyanurate and got 360 grams calcium cyanamide in total from 2 firings, which is more than I need anyway. The original goal was to
make dicyandiamide, but decided a small amount of 5-ATZ would also be nice.


Quote: Originally posted by nitro-genes ![]() |
Quote: Originally posted by Dornier 335A ![]() |
Quote: Originally posted by Dornier 335A ![]() |
Quote: Originally posted by Dornier 335A ![]() |
...Dr.Quote: Originally posted by greenlight ![]() |



and not to the enviro-friendlyness 
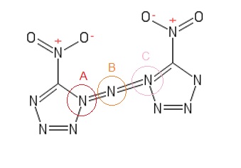
) solutions of Cu(II) and salts of NATZ form Cu(NATZ)2,
which is a hydrate and unsuitable as a primary. It seems water of hydration is the main problem with salts of NATZ, while its difficultly obtained
anhydrous salts (such as the calcium salt ) seem more useful and even been suggested as a lead azide replacement. Tried to make a putative
Ni(II)(hydrazine)2(NATZ) salt to see if this would increase flame sensitivity. Its a lilac in colour (like NHN) but similarly insensitive to flame as
the copper salt, and even more reluctant to make DDT upon heating. Wonder if potential double salts/complexes of 5-NATZ and styphnates or
trinitrophloroglucinates would exist and be more interesting. Since most of these form hydrates itself, probably not, but who knows?Quote: Originally posted by nitro-genes ![]() |
Dilute solutions of calcium cyanamide in cold water and precipitating the silvercyanamide as a more course
crystalline solid would help. Due to it's very low solubility it seems to form a really fine precipitate, easily partially escaping the filter. Been
wondering if you could precipitate silvercyanamide as an extremely fine precipitate in very dilute solutions, maybe light extinction of the suspension
could also be measured somehow. Quote: Originally posted by nitro-genes ![]() |
Quote: Originally posted by nitro-genes ![]() |





Quote: Originally posted by nitro-genes ![]() |
Shouldn't be doing this stuff late at night (or at all
)
Wondered if MEK would
not be an even better solvent for NaNTZ recrystallization, since it is more hydrophobic than acetone and has a higher boiling point, so maybe less
likely to crystallize an anhydrate and better recovery efficiency?
The gel doesn't form from the CuCl synthesis indeed, though even then the product
seems a mix of well formed crystals and almost amorphous stuff. Could be the simultaneous presence of cupric and cuprous results in this gel (The
cupric may allow more ligand binding, forming almost a polymer) and/or could relate to the ascorbic, though both would seem easy enough to exclude.
Alternatively, the DBX-1 forms as very small crystals, and the formation of DBX-1 crystals from this colloid depends on a poorly understood
self-assembly process maybe?
Strange phenomena
these gels, noticed there was a paper posted on SMDB about the lead styphnate jelly, from what I read it seems to be controlled by pH mostly, so maybe
is determined by how coordinated water interacts with the Pb2+ and styphnate to produce some hydroxide containing complex, though cannot picture how
this would look like.
Does the DBX-1 produced dissolve
in HCl as a clear solution, no copper particle residual? Is it actually soluble in HCl?
) at a
pKa of 0.8, so after performing the picric reductions using cupric/ascorbic I was contemplating before if a pH of about 2 would interfere with the
formation/complexation of 5-NTZ to the cuprous salt indeed. Performing the entire reaction in dilute acetic might be even more beneficial. Similarly,
the picramic and styphnamic complex of Cu(I) is only displaced at very low pH and high concentrations of competing ligands such as Cl- or NO3- (but
not sulfuric), so was wondering if the same would apply for DBX-1 indeed. The reduction of picric/styphnic might be interesting for the production of
DBX-1 as well, as it is sort of an optimized procedure for the steady production of Cu(I).