Sciencemadness Discussion Board
Not logged in [Login ]
Go To Bottom

Printable Version  
 Pages:  1  ..  12    14
Author: Subject: keten lamp
nleslie321
Hazard to Self
**




Posts: 62
Registered: 7-11-2017
Location: krakatoa
Member Is Offline

Mood: just right

[*] posted on 28-8-2018 at 09:14


yeah i am looking at things to use ketene for also. So far ive done acetic anhydride from GAA and propionic anhydride from propionic acid.
View user's profile View All Posts By User
NZniceguy
Harmless
*




Posts: 48
Registered: 16-9-2017
Member Is Offline

Mood: No Mood

[*] posted on 28-6-2019 at 05:29


Quote: Originally posted by nleslie321  
yeah i am looking at things to use ketene for also. So far ive done acetic anhydride from GAA and propionic anhydride from propionic acid.


Does ketene bubbled through propionic acid give prop. anhydride? Or do you use mek instead of acetone?
View user's profile View All Posts By User
Keras
International Hazard
*****




Posts: 1148
Registered: 20-8-2018
Location: (48, 2)
Member Is Offline


[*] posted on 28-6-2019 at 07:52


Speaking of.

One of the classical high-school experience about organic chemistry is the copper catalysed oxidation of ethanol to ethanal. Over a beaker containing warmed ethanol is placed a red-hot copper ribbon. Immediately, an "apple-like" scent is smelt, and the copper ribbon stays red-hot because the heat of the oxidation is enough to make up for thermal losses.
So question: if acetone is used instead of ethanol, does one get:
1. Ketene?
2. water and carbon dioxide?
3. Nothing, because acetone cannot be oxidised this way?
View user's profile View All Posts By User
clearly_not_atara
International Hazard
*****




Posts: 2928
Registered: 3-11-2013
Member Is Offline

Mood: Big

[*] posted on 28-6-2019 at 18:00


Ketene is not an oxidation product; it is a thermal degradation product. If ketene were produced, though, the only thing it would be useful for is suicide.



Quote: Originally posted by bnull  
you can always buy new equipment but can't buy new fingers.
View user's profile View All Posts By User
Keras
International Hazard
*****




Posts: 1148
Registered: 20-8-2018
Location: (48, 2)
Member Is Offline


[*] posted on 28-6-2019 at 22:07


Quote: Originally posted by clearly_not_atara  
Ketene is not an oxidation product; it is a thermal degradation product. If ketene were produced, though, the only thing it would be useful for is suicide.

I don't dispute this, and I have absolutely no intention to do it. I was just curious. Is the pyrolysis of acetone into ketene exothermic enough that a red-hot copper ribbon stays hot even though no external heat source is present? I guess this would go somewhat against the setup of the ketene lamp, where the electrical current is to be switched on at all times.

[Edited on 29-6-2019 by Keras]
View user's profile View All Posts By User
Ubya
International Hazard
*****




Posts: 1247
Registered: 23-11-2017
Location: Rome-Italy
Member Is Offline

Mood: I'm a maddo scientisto!!!

[*] posted on 29-6-2019 at 06:20


The copper catalyses

the formation of ketene (ethenone) and methane.

(CH3)2C=O → H2 C=C=O + CH4

The ketene and methane are oxidised (and presumably some acetone is directly oxidised as well), providing the necessary heat to keep the copper glowing.

ketene is formed, but oxidized quickly after. if you hadn't oxygen presence the copper wouldn't heat up and keep glowing, stopping the formation of ketene and it's oxidation.
the formation of ketene is endothermic, it's oxidation exothermic, that's why copper, in acetone vapours and oxygen keeps glowing, but to make ketene you have to heat the wire





---------------------------------------------------------------------
feel free to correct my grammar, or any mistakes i make
---------------------------------------------------------------------
View user's profile View All Posts By User
Keras
International Hazard
*****




Posts: 1148
Registered: 20-8-2018
Location: (48, 2)
Member Is Offline


[*] posted on 30-6-2019 at 07:37


Okay, so that means you end up with carbon dioxide and water?
View user's profile View All Posts By User
draculic acid69
International Hazard
*****




Posts: 1371
Registered: 2-8-2018
Member Is Offline


[*] posted on 5-7-2019 at 05:53



Does ketene bubbled through propionic acid give prop. anhydride? Or do you use mek instead of acetone?[/rquote]


I've wondered about this myself.whats the answer? Does methylketene come into play here or will one get ketene and ethane? Or 2moles of methane? Probably not on the double methane. I'd guess methylketene and methane.

[Edited on 5-7-2019 by draculic acid69]
View user's profile View All Posts By User
nleslie321
Hazard to Self
**




Posts: 62
Registered: 7-11-2017
Location: krakatoa
Member Is Offline

Mood: just right

[*] posted on 31-7-2019 at 00:59


Yes ketene bubbled through propionic acid gives propionic anyhydride and you can also use methyl ethyl ketone to make methyl ketene and bubble through GAA to get a mix of acetic and propionic anhydrides. ive done both methods and have both in my lab.
View user's profile View All Posts By User
Waffles SS
Fighter
*****




Posts: 1019
Registered: 7-12-2009
Member Is Offline


[*] posted on 31-7-2019 at 02:55


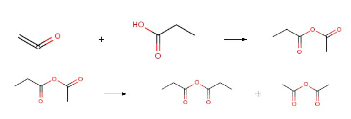
When Ketene is scrubbed with fatty acids higher than acetic acid such as propionic acid or butyric acid and the like, the mixed anhydride of acetic acid or of a homologous acid and the higher fatty acid is formed.The mixed anhydride on heating rearranges and the separate anhydrides of both acids form.By distillation these can be separated.(same will be happen by reaction of methyl ketene with GAA)

4.jpg - 24kB


[Edited on 31-7-2019 by Waffles SS]




Chemistry = Chem + is + Try
View user's profile View All Posts By User
draculic acid69
International Hazard
*****




Posts: 1371
Registered: 2-8-2018
Member Is Offline


[*] posted on 1-8-2019 at 02:10


Quote: Originally posted by nleslie321  
Yes ketene bubbled through propionic acid gives propionic anyhydride and you can also use methyl ethyl ketone to make methyl ketene and bubble through GAA to get a mix of acetic and propionic anhydrides. ive done both methods and have both in my lab.



Wow finally I can cross that question out on my list of questions to find out I wrote down about 12 years ago.it also sounds like why bother with acetone when mek can do two anhydrides with one ketone.this is awesome news.only thing is what ratios are the acetic/propionic formed? equal amounts or 90%10% ?
View user's profile View All Posts By User
nleslie321
Hazard to Self
**




Posts: 62
Registered: 7-11-2017
Location: krakatoa
Member Is Offline

Mood: just right

[*] posted on 27-8-2019 at 00:13


From memory i think it was a little more propionic anhydride than acetic anhydride via mek pyrolisis. Its a very simple reaction to do if you want to try it.
View user's profile View All Posts By User
draculic acid69
International Hazard
*****




Posts: 1371
Registered: 2-8-2018
Member Is Offline


[*] posted on 28-8-2019 at 04:28


If and when I try this rxn I'll be using mek.
View user's profile View All Posts By User
 Pages:  1  ..  12    14

  Go To Top