No,
Actually you need the monomer, not the polymer. There is a double bond on the monomer which reacts with acetic acid to produce acetal (ethylidene
diacetate).

If you have access to the starting materials, there are simpler methods for synthesizing Ac2O (than the VA method).
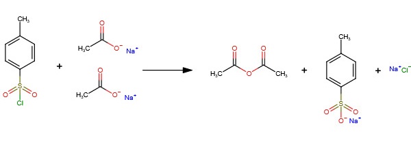
Another simple method is to react Tosyl chloride with dry sodium acetate. Do you have access to them?

[Edited on 29-12-2025 by Waffles SS]
Chemistry = Chem + is + Try
|