MeshPL
Hazard to Others
 
Posts: 329
Registered: 20-4-2015
Location: Universe
Member Is Offline
Mood: No Mood
|
|
Aldol condensation question
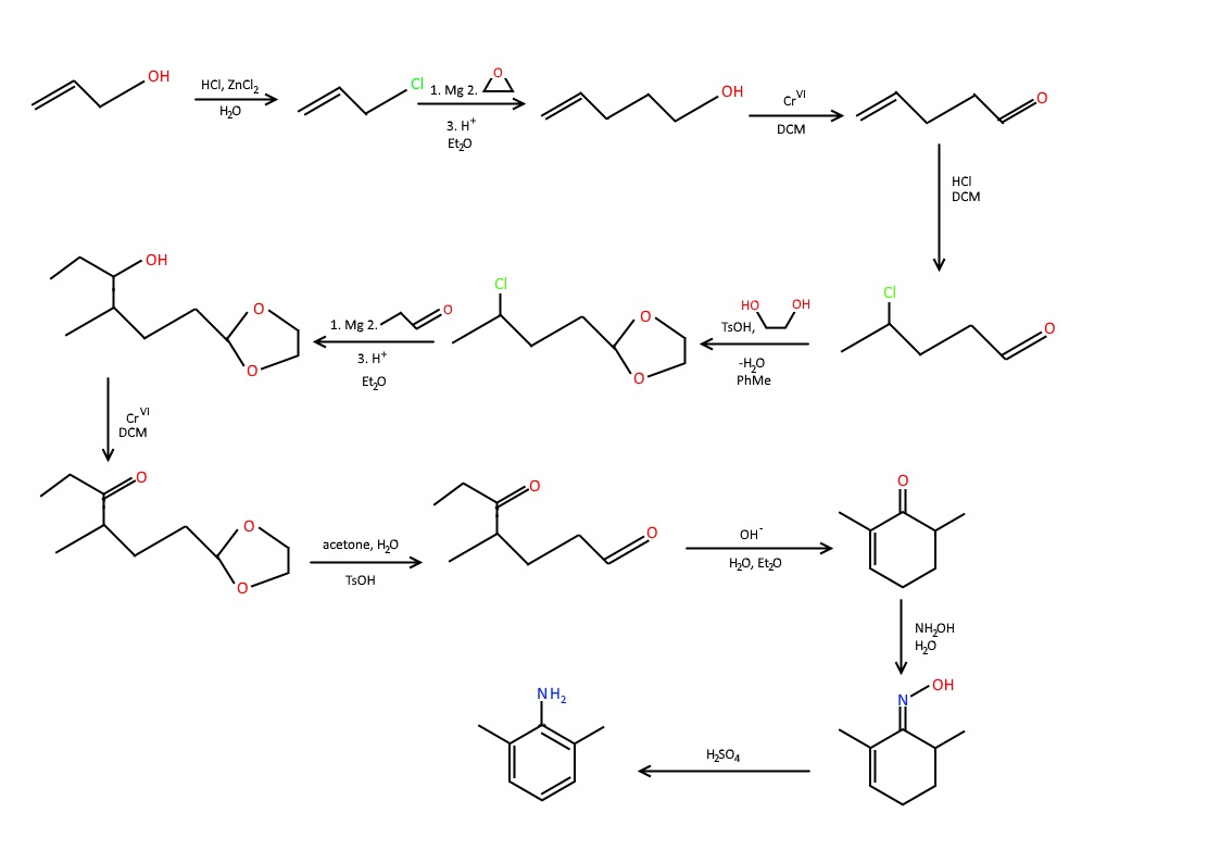
Can I make 2,5-dimethylcyclohex-2-enone from 4-methyl-5-oxohepthanal via aldol condensation?
As a note any byproducts would likely have to contain a 4-membered ring so they wouldn'be favoured. Also not sure if I named those compounds properly.
Now with pictures!

[Edited on 20-9-2015 by MeshPL]
|
|
|
CuReUS
National Hazard
  
Posts: 928
Registered: 9-9-2014
Member Is Offline
Mood: No Mood
|
|
The type of cyclisation product in an aldol reaction depends on the strength and protic nature of the base.In stronger protic bases like KOH in
water,all the cyclisation are reversible and the more stable ketone is formed by thermodynamic control.
In buffered conditions(weak amine base and weak acid)only the more reactive aldehyde enolises and the conjugated aldehdye is formed by kinetic control
accordingly,treating the reactant with 10% KOH/H2O(Et2O,shake) should give the desired product.
|
|
|
MeshPL
Hazard to Others
 
Posts: 329
Registered: 20-4-2015
Location: Universe
Member Is Offline
Mood: No Mood
|
|
Ok. That's nice to know.
Saddly I don't have proper equipment or reagents to do it.
However formation of such product may be crucial for a reasonable synthesis of 2,5-xylidine, which an amateur can easily do (with proper equipment).
Such a cyclic ketone may be turned into an oxime (hydroxylamine, albeit higly impure, could be synthesised at home lab) and than dehydrated into 2,5
xylidine.
I'll post pictures required reactions soon. Right now I can just say the carbon skeleton will be made from allyl alcohol, ethylene oxide and propanal.
All technically obtainable with proper equipment.
|
|
|
MeshPL
Hazard to Others
 
Posts: 329
Registered: 20-4-2015
Location: Universe
Member Is Offline
Mood: No Mood
|
|
Ok, here we go.
Note that hexavalent chromium stands for chromyl chloride, rather than for oridinary chromate.
If anybody spots a mistake, or has an idea for improving the process, please let me know.
|
|
|
CuReUS
National Hazard
  
Posts: 928
Registered: 9-9-2014
Member Is Offline
Mood: No Mood
|
|
come on mesh,that's the stupidest excuse ever.Its an aldol reaction.You don't need a particle accelerator to run it
as for your proposed synthesis(I think you meant 2,6-xylidine),I have a few questions
1.allyl alcohol is watched,so you will have to make it yourself
2.allyl chloride is a nasty chemical to work with
3.isn't there a chance of rearrangement of the terminal double bond to secondary during the grignard work-up
4.won't the NH2OH react with the double bond conjugated to the ketone due to michael reaction rather than reacting with the ketone itself ?
5.Do you have a reference for the last step.won't a beckmann rearrangement happen ?
its too much work for something that costs 22$/100g.If you want to make it at home,why not start from m-xylene ?
[Edited on 21-9-2015 by CuReUS]
|
|
|
MeshPL
Hazard to Others
 
Posts: 329
Registered: 20-4-2015
Location: Universe
Member Is Offline
Mood: No Mood
|
|
I don't need particular reactor... funny. I don't even have a proper distillation setup.
In fact particle accelerators may be cheaper than most basic distillation setup. Some call it old TVs.
Allyl alcohol is as simple as glycerol being reduced by formic and oxalic acid. Google it up.
Allyl chloride may be nasty. Indeed you have a point. But it doesn't disqualify the whole synthesis.
Chance of alkene rearrangement is very small if stoichiometrichal amount of water is used. Oxidane is very slightly acidic and will not likely cause
rearrangement.
Well, Michael reaction may happen, but is not 100% sure to be.
Beckmann rearangement may happen, but what is more likely:
-formation of 7 membered ring.
-formation of aromatic ring along with dehydration by concentrated H2SO4 resulting in dilution.
This mysterious reaction is known as Semmler-Wolff reaction.
Here are references:
http://www.synarchive.com/named-reactions/Semmler-Wolff_Reac...
https://en.m.wikipedia.org/wiki/Beckmann_rearrangement#Semml...
It may not be widely known because it is a particularly inefficient way to make aromatic amines. Apparently other acidic reagents can also be used.
Here where I live I cannot buy xylidines as easily or cheaply. Not that I really need to make them. And may not be able to for a long time.
M-xylene may sound like a good starting point, but what can you do with it? Nitrate it?
Surely that NO2 will want to be squeezed betwen two methyls. And even if you manage to make some 2,6-nitroxylene, how would you separate from other
isomers? You would need to know boiling points of all three possible products or specified solubility data. Unless you reduce them first and try
separating xylidines, about which more data can be found. But 2,6-Xylidine and 2,4-Xylidine have boiling points differing by only 1C. And may form an
azeotrope.
And well, at least such theoretical reactions can sometimes be fun to write. I know a guy who does even more of those.
|
|
|
CuReUS
National Hazard
  
Posts: 928
Registered: 9-9-2014
Member Is Offline
Mood: No Mood
|
|
Quote: Originally posted by MeshPL  |
Chance of alkene rearrangement is very small if stoichiometrichal amount of water is used. Oxidane is very slightly acidic and will not likely cause
rearrangement. |
yes,you are right.I realised later that it wouldn't rearrange so easily.otherwise they would have been able to convert safrole to isosafrole very
easily
| Quote: | | Well, Michael reaction may happen, but is not 100% sure to be. |
I wouldn't be so sure if I were you.I have seen quite crazy reactions when it comes to michael reaction(aniline undergoes michael addition with
acrylic acid ,rather than an expected acid-base reaction).But I haven't seen an
example where hydroxyl amine shows M-addition.
| Quote: | | Here where I live I cannot buy xylidines as easily or cheaply. |
you can order it online,can't you ?
| Quote: | | M-xylene may sound like a good starting point, but what can you do with it? Nitrate it? |
nitrate m-xyxlene to nitro m-xylene (79% yield,crazy catalyst though)
http://link.springer.com/article/10.1007/s00706-007-0593-6
reduce nitro to amine(99%)
http://onlinelibrary.wiley.com/doi/10.1002/ejoc.200800960/ab...
| Quote: | | And well, at least such theoretical reactions can sometimes be fun to write. I know a guy who does even more of those. |
Even I love to think about synthetic routes to make compounds.Please post more reactions.
[Edited on 25-9-2015 by CuReUS]
|
|
|
byko3y
National Hazard
  
Posts: 721
Registered: 16-3-2015
Member Is Offline
Mood: dooM
|
|
When I have seen your target compound, I was like ROFL. So many steps for this simple compound. And also the procedure would not work, because of 4th
and two last steps.
Iranian article ( http://link.springer.com/article/10.1007/s00706-007-0593-6 ) does not work, because... well, because irania article just don't work. Authors did
not give no proof of reaction product configuration.
I see two options for 2-amino-m-xylene preparation:
- direct nitration with 3:17 ration of 2 to 4 isomer Mononitration of m-Xylene and reduction to amine;
- reduction of 2,4,6-trinitroxylene with palladium Improved Synthesis of 4,6-Diamino-2-nitro-m-xylene by Reduction of 2,4,6-Trinitro-m-xylene, diazotation, reduction of amino groups, reduction of
2-nitro-m-xylene to 2-amino-m-xylene.
|
|
|
CuReUS
National Hazard
  
Posts: 928
Registered: 9-9-2014
Member Is Offline
Mood: No Mood
|
|
could you please explain why ?
I don't understand.See the 10th substrate in table 1.maybe they did the numbering wrong.(3,5 instead of 1,3)
|
|
|
byko3y
National Hazard
  
Posts: 721
Registered: 16-3-2015
Member Is Offline
Mood: dooM
|
|
CuReUS, aldehydes and lakenes polymerize in acidic environment. Even if double bound will be quickly hydrochlorinated, aldehyde will be unchanged and
will react to form aldol addition product.
Aldol reaction could be reversed with water, but water also hydrolysis chlorine and our compounds have low solubility in water.
And I have no idea about how the last steps could be performed. The last steps is probably Beckmann rearrangmenent, but that's not the way it is done.
| Quote: | | I don't understand.See the 10th substrate in table 1.maybe they did the numbering wrong.(3,5 instead of 1,3) | Exactly, they did the numbering wrong, you can't detect isomers with GS/MS, and they did not provide information about authentic
samples because they had no authentic samples despite their declaration that "All products are known and their physical and spectral data were
compared with those of authentic samples". They are fucktards, deal with that.
|
|
|
CuReUS
National Hazard
  
Posts: 928
Registered: 9-9-2014
Member Is Offline
Mood: No Mood
|
|
Quote: Originally posted by byko3y  | CuReUS, aldehydes and lakenes polymerize in acidic environment. Even if double bound will be quickly hydrochlorinated, aldehyde will be unchanged and
will react to form aldol addition product.
|
I thought so too,but since he was using HCl in DCM,I wondered whether the acid catalysed aldol could be prevented.thanks for clearing that up.
there is one thing he could do,he could protect the aldehyde in the 4th step rather than the 5th.
|
|
|
MeshPL
Hazard to Others
 
Posts: 329
Registered: 20-4-2015
Location: Universe
Member Is Offline
Mood: No Mood
|
|
No. Last step is not Beckmann rearangement. It's Semmler-Wolff reaction with some references on wikipedia and even reaction mechanism explained on
synarchive.
I don't understand why that ketone can't for sure be turned into oxime. Michael addition? I don't think it is 100% sure to happen.
It is true that aldehyde will guite likely react when we try to hydrochlorinate that bond. Fix: estrify alcohol, saturate double bond, deestrify,
oxidise. If Cl is not likely to replace that OH in acidic enviroment, you could also possibly do without ester protection.
However it is impossible to protect aldehyde before we saturate double bond. Than protection will rearrange terminal double bond. After all, strong
acid is required for protection.
[Edited on 27-9-2015 by MeshPL]
|
|
|
byko3y
National Hazard
  
Posts: 721
Registered: 16-3-2015
Member Is Offline
Mood: dooM
|
|
Quote: Originally posted by MeshPL  | | I don't understand why that ketone can't for sure be turned into oxime. Michael addition? I don't think it is 100% sure to happen.
|
You may not beleive me, but I'm sure you will beleive them Reactions of Acrolein and Related Compounds. VI. Condensations with Amines
Those guys experienced similar problem US2417024
|
|
|
MeshPL
Hazard to Others
 
Posts: 329
Registered: 20-4-2015
Location: Universe
Member Is Offline
Mood: No Mood
|
|
Well, the article mentions only acrolein and methacrolein and there is slight difference between them and cycling compound we are talking about. Also
the part I'm able to acces for free doesn't mention actual oximes. However I'm not saying my reactions will work for sure.
The patent says that oxime of higher homologue of acrolein is slightly more stable, so our oxime, which is ketoxime, not aldoxime may be quite stable.
I don't say I don't believe anything you guys write, but writing why reaction will not work is slightly more helpful and believable than just saying
it will not work.
Anyway thanks for all of the responses.
Now I'm trying to figure out how to make thujone.
|
|
|
CuReUS
National Hazard
  
Posts: 928
Registered: 9-9-2014
Member Is Offline
Mood: No Mood
|
|
Quote: Originally posted by MeshPL  | | Well, the article mentions only acrolein and methacrolein and there is slight difference between them and cycling compound we are talking about
|
Mesh,you don't understand.M- addition is crazy,it doesn't care whether its cyclic or not
what I was thinking was,If beckmann rearrangement happened,which side would the -NH get inserted.?
Will it be the compound in the left or right ?
[Edited on 28-9-2015 by CuReUS]
Attachment: beck.tif (18kB) This file has been downloaded 645 times
|
|
|