DrDevice
Hazard to Self

Posts: 76
Registered: 19-3-2012
Member Is Offline
Mood: Incompatible with carbon based lifeforms
|
|
Azlactone to amino acid conversion - part 1
Hello all,
I've been experimenting with azlactones for a while now (eg http://www.sciencemadness.org/talk/viewthread.php?tid=84490#... ) and finally got around to looking into conversion to amino acids.
The basic sequence I am following is described in "The Reaction of Phenylpyruvic acid and Related Compounds with Ammonia" (Galat 1950, doi
10.1021/ja01166a025).
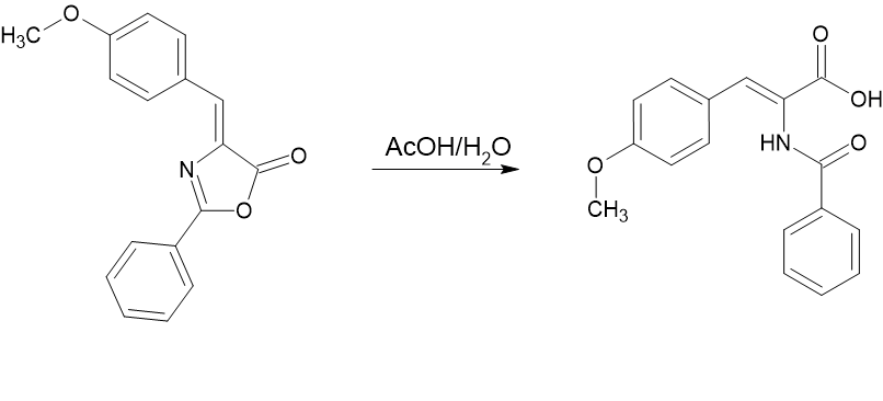
The first step however is the following ring opening reaction:

The Galat paper references one method for this process, but a more straightforward method is provided in a more recent paper "Phenylpyruvic Acid
Derivatives as Enzyme Inhibitors: Therapeutic Potential on Macrophage Migration Inhibitory Factors" (Carpy, Haasbrook, Oliver 2004, doi
10.1007/s00044-004-0102-y)
10.08g of the azlactone (a bright yellow crystalline solid, MW = 279.29, 36.1 mmol, MP 152C - 154C) is refluxed for 5 hours in 140ml of 93% acetic
acid solution, until no trace of source material remains (TLC 10:2:1 Toluene:AcOH:EtOH). Rf of azlactone is 0.73, with product Rf 0.37.
The product crystalizes as the solution cools. The white material is washed twice with 1:1 AcOH:water.
Yield: 7.99g @ 297.31 = 26.9mmol = 74%.
MP: 226C - 229C.
I'll followup in the near future with a report on the amidation step.
A question: the Galat paper uses naming nomenclature I am struggling with.
Can anyone verify if N-benzamido-4-methoxycinnamic acid is a "correct" name for the result?
|
|
|
Lionel Spanner
Hazard to Others
 
Posts: 203
Registered: 14-12-2021
Location: near Barnsley, UK
Member Is Offline
|
|
Quote: Originally posted by DrDevice  | A question: the Galat paper uses naming nomenclature I am struggling with.
Can anyone verify if N-benzamido-4-methoxycinnamic acid is a "correct" name for the result? |
It's quite misleading, and definitely not standard. 4-methoxycinnamic acid and benzamide describe the two parts of the molecule that are linked by the
C-N bond, but the name says nothing about where that C-N bond is.
A more accurate name would be N-benzoyl-α-amino-4-methoxycinnamic acid.
|
|
|
|