Diachrynic
Hazard to Others
 
Posts: 232
Registered: 23-9-2017
Location: western spiral arm of the galaxy
Member Is Offline
Mood: zenosyne
|
|
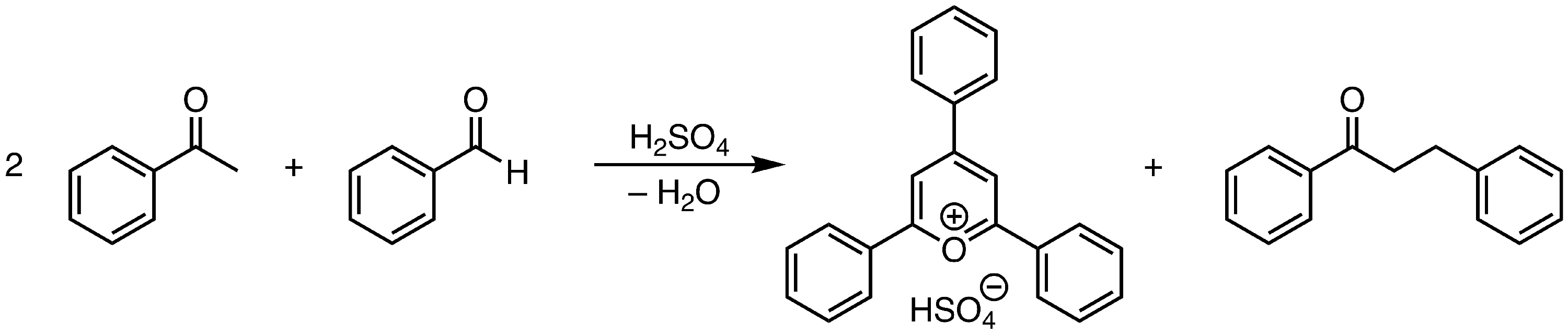
Triphenylpyrylium bisulfate
Pyrylium is the name of a cationic heterocycle, a benzene with one =CH- replaced by a positively charged oxygen =O(+)-. Despite looking quite
unstable, it is actually part of many plant dyes, particularly ones that have a flavylium structure. The oxygen in the pyrylium salt can be replaced
by various nucleophiles and thus offers great synthetic applicability. One famous example is the synthesis of azulene and azulene derivatives
(although this derivative presumably doesn't work for that).
2,4,6-Triphenylpyrylium bisulfate
There are many salts of the 2,4,6-triphenylpyrylium cation known. The most common might be the tetrafluoroborate and the perchlorate.[1]
However HBF4 or BF3 are difficult to acquire and quite dangerous, and HClO4 is as well, and on top of that the
pyrylium perchlorates are potentially explosive. A good alternative is the bisulfate.
This synthesis is based on a US patent.[2] There are procedures that first prepare chalcone from acetophenone and
benzaldehyde[3] and then react that with more acetophenone and sulfuric acid.[4] The yield given is somewhat variable, and while
this two step procedure might save a little bit on sulfuric acid, the overall yield based on acetophenone and benzaldehyde is almost the same as the
one-pot reaction.

Fig. 1: Reaction scheme.
Synthesis:
A 250 mL round bottom, single neck flask was placed in an ice bath and a stir bar, 22.3 g (0.186 mol, 1.47 eq.) acetophenone, and 13.4 g (0.126 mol,
1.00 eq.) benzaldehyde (Note 1) were added and precooled. From an addition funnel 20.0 g (95-97 %, ca. 0.194 mol, ca. 1.53 eq.) of sulfuric acid were
added during 14-15 minutes. The solution changes from colorless to yellow to red and becomes somewhat viscous.

Fig. 2: Color progression.
A drying tube with CaCl2 was placed on top and the flask was placed in an oil bath, the oil was then heated to 100-105 °C. The solution
becomes redder and less viscous during the heating. Heating is continued for 6 hours. The flask was then taken out, left to cool somewhat and 120 mL
of water were added. The mixture is then boiled briefly and a small amount of oil is seen on top of the water layer. It is then gravity filtered
through some filter paper containing a small amount of celite. The mixture is then stirred at room temperature until crystallisation begins and placed
over night in the fridge. Then it was filtered with suction and washed with ca. 50 mL water. It was then dried at 65 °C for 10 h.


Fig. 3: Workup sequence.
Yield: 15.02 g (0.037 mol, 60 % of the theory, literature: 13.9-15.1 g) of slightly inhomogenous yellow-orange product. (Note 2)
From the various filtrates could be precipitated with 14 % sulfuric acid an additional 0.4 g of product.
Notes:
1. According to the patent,[2] the benzaldehyde should be free of benzoic acid. My benzaldehyde was a several years old commercial sample,
which however after shaking with water gave a pH of 7 in the aq. phase, and was used without further purification.
2. According to the literature, the product can be further purified by washing with acetone and recrystallizing from ethanol or ethanol containing
some sulfuric acid.[4] The product in this state worked fine for making a solvatochromic betain dye and for making
2,4,6-triphenylnitrobenzene, however.
Attempted purification:
First let me state that this was a failure and I do not recommend it. I was unable to get the bisulfate back and had to convert it into the less
soluble perchlorate in the end. The raw product was used successfully in other reactions, so I'd just use it as is. Anyways, here is what I tried:
8.25 g of the crude bisulfate was dissolved with 150 mL of boiling ethanol, then 3 mL of 40 % sulfuric acid was added, which seemed to facillitate
dissolution. No crystals were obtained after cooling. Neither addition of water nor scraping or cooling induced crystallisation. The solution was
boiled down further to a volume of 30-35 mL, in the freezer some crystals started forming. They were filtered off and were a lemon yellow color, but
during drying it turned orange in some spots and all in all looked like before. The amount recovered was 4.52 g.
From the residual solutions the perchlorate was precipitated by addition of a sodium perchlorate solution (in excess), which immediately precipitated
a fine lemon yellow precipitate. After air drying for several weeks, the mass was 2.51 g.

Fig. 4: Perchlorate salt in suspension.
It was also attempted to basify a sample with KOH (orange and clumpy) and extraction with ethyl acetate, after separating the organic layer it was
reacidified with dilute sulfuric acid and the ethyl acetate boiled away, no crystallisation occured but fine yellow crystals were obtained on addition
of ice. They had a visibly impure appearance however and a tendency to turn back into an oil, so this method was also discarded.
Analytical results:
TLC was attempted in hexane/ethyl acetate 2/1 (A) as well as acetonitrile/water/potassium nitrate 10 mL + 1 mL + 30 mg (B), once with the
triphenylpyrylium bisulfate spotted in ethanol and once spotted in ethanol (1) with a few drops of 40 % sulfuric acid added (2). There were problems
with heavy streaking and the addition of acid drastically changed the elution behaviour, so there seems to be some reversible decomposition going on.
The yellow spots (with blue fluorescence) turned first orange and then somewhat faded in an atmosphere of ammonia and their fluorescence disappeared.
The results for the different combinations are listed below:
A-1: Two spots at hRf = 72 and 87, both with blue fluorescence under 365 nm UV and yellow appearance under visible light.
A-2: Everything remained on the starting line (hRf = 0).
B-1: Two spots at hRf = 62 and 99 (heavy streaking), along with some residue on the starting line.
B-2: Two spots at hRf = 0 and 57 (main part) with some smaller amount running with the solvent front.
Overall, I wouldn't put too much weight on the TLCs. They were more confusing than actually helpful. Nonetheless, that the product actually is the
triphenylpyrylium, is certain.
Literature:
[1] - (a) NI2, "Synthese von 2,4,6-Triphenylpyryliumtetrafluoroborat", Illumina-Chemie 2013, https://illumina-chemie.org/viewtopic.php?p=51498, (b) K. Dimroth, C. Reichardt, K. Vogel, "2,4,6-Triphenylpyrylium tetrafluoroborate", Org.
Synth. 1969, 49, 121, https://doi.org/10.15227/orgsyn.049.0121
[2] - T. C. Chadwick, "Water-soluble tetraphenylpyridinium salt for use as an analytical reagents", US4150233, https://patents.google.com/patent/US4150233A/en
[3] - E. P. Kohler, H. M. Chadwell, "Benzalacetophenone", Org. Synth. 1922, 2, 1, https://doi.org/10.15227/orgsyn.002.0001
[4] - (a) T. C. Chadwick, "Gravimetric determination of gold and platinum using 2,4,6-triphenylpyrylium chloride", Anal. Chem.
1974, 46, 9, 1326-1328, https://doi.org/10.1021/ac60345a017, (b) A. Dinculescu, A. T. Balaban, "2,4,6-Triphenylpyrylium hydrogen sulfate", Org. Prep. Proced.
Int. 1984, 16, 6, 407-410, https://doi.org/10.1080/00304948409458669
we apologize for the inconvenience
|
|
|
Fery
International Hazard
   
Posts: 1127
Registered: 27-8-2019
Location: Czechoslovakia
Member Is Offline
|
|
Nice experiment!
Isn't the bisulfate salt too hygroscopic? Anyway nice that you tried it and got the product, your work is very useful for everyone not having access
to HBF4 / HClO4. If Na/KBF4 is added to the bisulfate solution, should BF4 salt precipitate due to its lower solubility (perhaps hot methanolic
solution of KBF4, resulting product very likely contaminated with K2SO4/KHSO4)?
From the TLC could you read whether the product is free from the intermediate chalcone (I suppose it is as the chalcone does not form inorganic salt
so it stays dissolved)?
According this article:
https://www.researchgate.net/publication/355015781_Synthesis...
the pyrylium should react with cyclopentadienide to azulene, that seems easy synthesis of azulene, thanks for pointing out to this usage of pyrylium!
The link you posted for synthesis of trimethylpyrylium from t-butanol and acetic anhydride uses HBF4. I do not have HBF4 at hand, just some HClO4, I'm
not sure whether that could work - whether it is as a catalyst (seems to be as it is added only very slowly and the addition raises temperature) or
only to make a salt of the product.
|
|
|
Diachrynic
Hazard to Others
 
Posts: 232
Registered: 23-9-2017
Location: western spiral arm of the galaxy
Member Is Offline
Mood: zenosyne
|
|
Hi Fery, thanks for the kind words!
I haven't experienced issues with the salt being hygroscopic, though judging from how "crunchy" the dried product is, it certainly seems somewhat
hygroscopic. Salt metathesis to the tetrafluoroborate is something I should have tried now that I think about it, perhaps I need to make some
follow-up experiments.
Impurities: I haven't detected the dihydrochalcone on TLC (the TLCs were confusing me more than anything to be honest), but one impurity that was
present based on GC-MS analysis of a later follow-up product was 1,3,5-triphenylbenzene from trimerisation of acetophenone under
acidic conditions. Not a lot though, but detectable. I think stirring the product in cold acetone and filtering should remove most of the impurities,
it seems less failure-prone than recrystallization attempts.
As for azulene I should point out that the 2,4,6-triphenylpyrylium apparently is unsuited for it, as stated in K. Hafner, H. Kaiser, Justus
Liebigs Ann. Chem. 1958, 618, 140-152, https://doi.org/10.1002/jlac.19586180116
And as for the synthesis of trimethylpyrylium salts, those were on my to-do list, but I never got around to it. I did come across a variation that
uses sulfuric acid or p-toluene sulfonic acid instead of HBF4 however. The sulfuric acid reacts with the acetic anhydride and forms
sulfoacetic acid, the trimethylpyrylium being obtained as its salt. See A. Dinculescu, T. S. Balaban, C. Popescu, D. Toader, A. T. Balaban, Bull.
Soc. Chim. Belges 1991, 100, 665-672, https://doi.org/10.1002/bscb.19911000905
Attachment: dinculescu1991.pdf (529kB) This file has been downloaded 59 times
I should note that for the trimethylpyrylium there is an Org. Synth. procedure that uses perchloric acid, too: A. T. Balaban, C. D.
Nenitzescu, Org. Synth. 1964, 44, 98, https://doi.org/10.15227/orgsyn.044.0098
And one that uses the much less accessible trifluoromethanesulfonic acid: A. T. Balaban, A. J. Boulton, Org. Synth. 2015,
92, 21-22, https://doi.org/10.15227/orgsyn.000.0021
[Edited on 11-1-2026 by Diachrynic]
we apologize for the inconvenience
|
|
|
Fery
International Hazard
   
Posts: 1127
Registered: 27-8-2019
Location: Czechoslovakia
Member Is Offline
|
|
OK the triphenyl is not suitable for azulenes. So I can try trimethyl (from acetic anhydride + t-butanol + HClO4 of from mesityl oxide instead of
butanol) which is suitable for trimethylazulene as written in the first orgsyn reference and the synthesis of azulene is described in the first link
you posted. It should be stored wetted with anhydrous tetrahydrofuran due to its explosive properties, in cork stoppered flask, not in any flask with
ground glass joints to avoid friction of crystals on the ground glass surface.
So far I'm going to dry some t-butanol with K2CO3.
|
|
|
Fery
International Hazard
   
Posts: 1127
Registered: 27-8-2019
Location: Czechoslovakia
Member Is Offline
|
|
Diachrinic I found an experiment which uses your product as a substrate to synthesize 2,4,6-triphenylpyridine.
In RBF equipped with reflux condenser heat 4 g of 2,4,6-Triphenylpyrylium perchlorate (I hope your hydrogensulfate would work too, just maybe adjust
the amount of ammonium acetate?), 7-8 g of ammonium acetate and 30 ml of glacial acetic acid for 30 minutes. After cooling pour the mixture into 150
ml of water. After few hours filter, wash few times with water, air dry or in vacuum desiccator. White crystals m.p. 138 C (from alcohol). Yield 2,7 g
(90%).
It is a russian book about heterocycles
http://www.newlibrary.ru/genre/nauka/himija/organicheskie_si...
Пожарский А.Ф., Анисимова В.А., Цупак Е.Б.
Практические работы по химии гетероциклов
http://www.newlibrary.ru/read/pozharskii_a_f___anisimova_v_a...
you should correct the filename after downloading, add it djvu extension and then use a tool to read this very old format

[Edited on 13-3-2026 by Fery]
|
|
|
|