Sciencemadness Discussion Board
Not logged in [Login ]
Go To Bottom

Printable Version  
Author: Subject: Reactions of Benzyl chloride and Benzyl alcohol with anhydre acetic
Azainio
Harmless
*




Posts: 3
Registered: 14-8-2017
Member Is Offline

Mood: No Mood

[*] posted on 14-8-2017 at 18:02
Reactions of Benzyl chloride and Benzyl alcohol with anhydre acetic


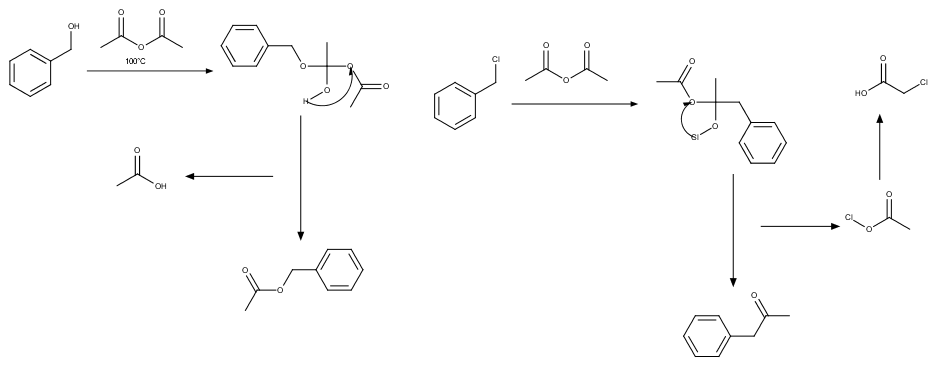
Putting 1 mole of benzyl chloride with 1 mole of acetic anhydride is the mechanism of the reaction in the picture right?
If they are wrong what is the mechanism of the reaction? And what products?
And the reaction of benzyl alcohol and anhydrous acetic acid are right?


021.png - 20kB
View user's profile View All Posts By User
ninhydric1
Hazard to Others
***




Posts: 345
Registered: 21-4-2017
Location: Western US
Member Is Offline

Mood: Bleached

[*] posted on 14-8-2017 at 18:41


The reaction between benzyl alcohol and acetic anhydride is correct. This reaction is a well-known reaction called an esterification, with the products of this reaction benzyl acetate and acetic acid.

The second reaction is a bit confusing. The more seasoned members of this forum should probably explain it.

(Honestly, this suspiciously looks like a homework problem or maybe even a drug precursor discussion.)
View user's profile View All Posts By User
gdflp
Super Moderator
Thread Moved
14-8-2017 at 18:54
Assured Fish
Hazard to Others
***




Posts: 319
Registered: 31-8-2015
Location: Noo Z Land
Member Is Offline

Mood: Misanthropic

[*] posted on 14-8-2017 at 19:17


This has drug chemistry written all over it.
I don't think this thread will hang around long unless something useful comes out of it.
To answer your question though, the reaction between benzyl chloride and acetic anhydride does not take place under normal refluxing conditions.
Though i did recall seeing it elsewhere so had to go looking around Rhodium to find it.
https://erowid.org/archive/rhodium/chemistry/p2p.electro.htm...
View user's profile View All Posts By User
ninhydric1
Hazard to Others
***




Posts: 345
Registered: 21-4-2017
Location: Western US
Member Is Offline

Mood: Bleached

[*] posted on 14-8-2017 at 19:19


Yeah, I thought so too when looking up this suspicious reaction. The first result was "Preparation of P2P" from Erowid.
View user's profile View All Posts By User
MeshPL
Hazard to Others
***




Posts: 329
Registered: 20-4-2015
Location: Universe
Member Is Offline

Mood: No Mood

[*] posted on 17-8-2017 at 14:36


The second reaction is not just suspicious. It makes no sense! Somehow benzyl chloride has to add across carbonyl just like benzyl magnesium chloride or other metaloorganic benzyl reagent. Formation of O-Cl bond is really unfavoured thermodynamically. And there is no sensible mechanism (polar/radical/electron transfer/electrocyclic/whatever) as theese steps omit potentailly quite a lot of stuff that may happen in between them.

Quote:

Though i did recall seeing it elsewhere so had to go looking around Rhodium to find it. https://erowid.org/archive/rhodium/chemistry/p2p.electro.htm...


That makes more sense, as such reaction maybe could work via reduction of benzyl chloride to chloride and short-lived benzyl anions, which would
add to acetic anhydrides carbonyl. They even mention adding metal complexes which would complex/bind/do whatever (call it however you want, metalloorganic bond will be temporarily formed) with benzyl anions and make them more stable and improve their ability to add to carbonyl groups. The mechanism is, however, drastically different from what OP proposes.
View user's profile View All Posts By User

  Go To Top